Curiosii for ever!
: Car repair manuals for everyone.
Home
>>
Ford
>>
2007
>>
Focus L4-2.3L VIN Z
>>
Repair and Diagnosis
>>
Specifications
>>
Mechanical Specifications
>>
Automatic Transmission/Transaxle
>>
System Specifications
>>
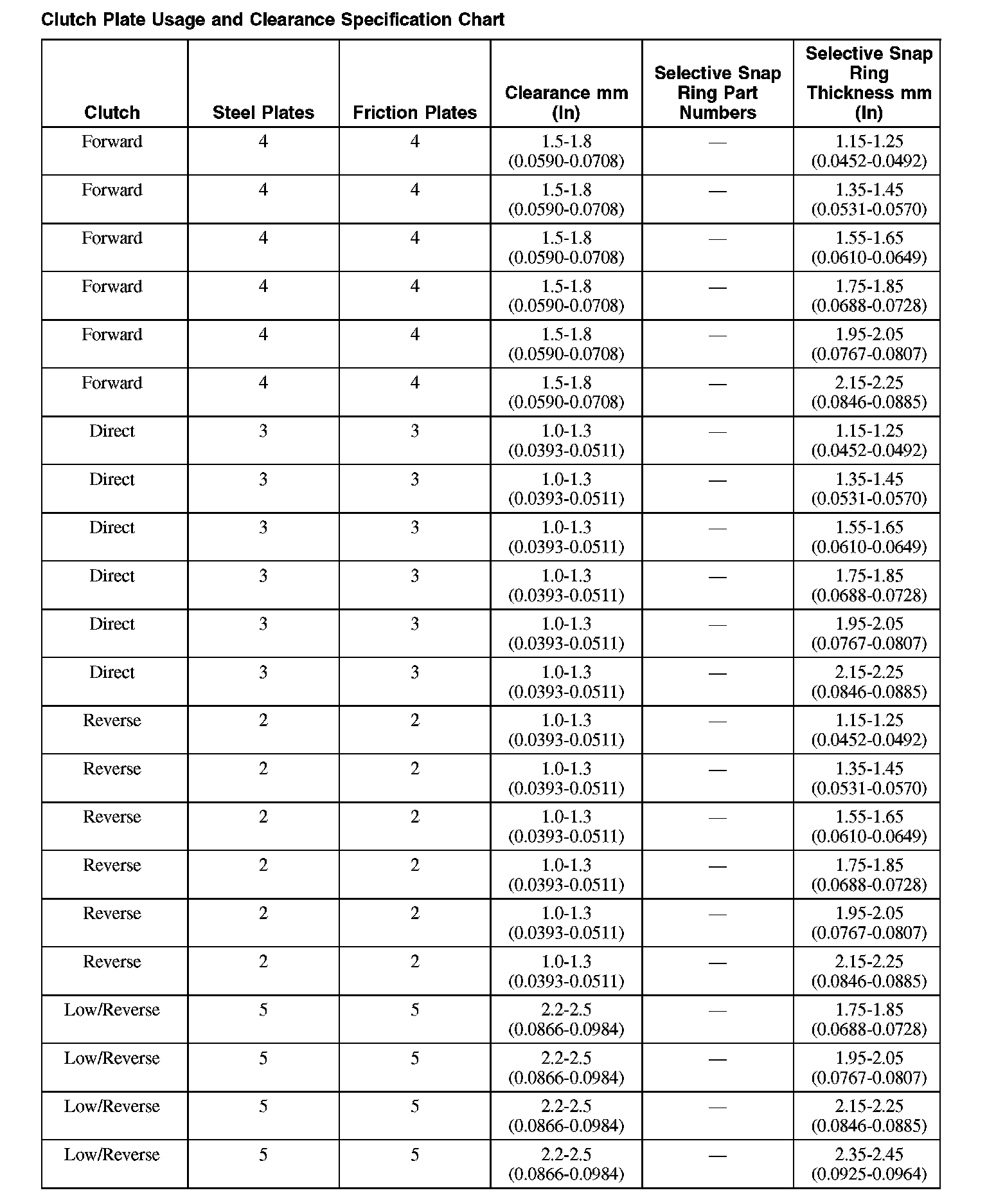
Clutch Plate Usage and Clearance Specification Chart
Clutch Plate Usage and Clearance Specification Chart
Clutch Plate Usage and Clearance Specification Chart:
Clutch Plate Usage and Clearance Specification Chart: