Curiosii for ever!
: Car repair manuals for everyone.
Home
>>
Ford
>>
2007
>>
Focus L4-2.3L VIN Z
>>
Repair and Diagnosis
>>
Powertrain Management
>>
Computers and Control Systems
>>
Testing and Inspection
>>
Pinpoint Tests
>>
Tests QD: DTC P1260: Passive Anti-Theft System
Tests QD: DTC P1260: Passive Anti-Theft System
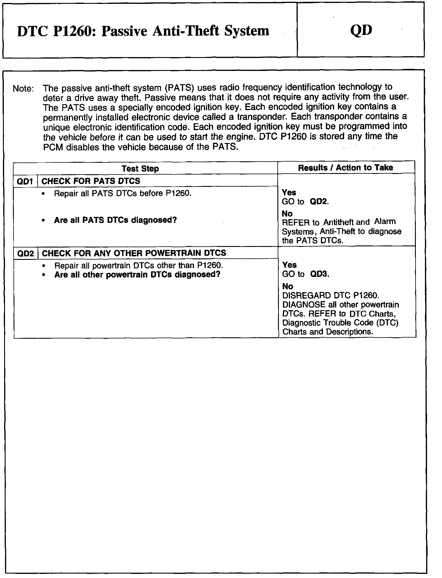
PINPOINT TEST QD: DTC P1260: PASSIVE ANTI-THEFT SYSTEM
Note And QD1-QD2:
QD3: