Curiosii for ever!
: Car repair manuals for everyone.
Home
>>
Ford
>>
2003
>>
Escort ZX2 L4-2.0L DOHC VIN 3
>>
Repair and Diagnosis
>>
Specifications
>>
Mechanical Specifications
>>
Engine
>>
System Specifications
>>
General
General
General Specifications
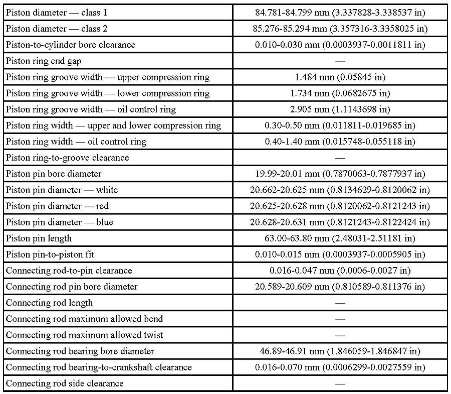
General Specifications (1 Of 5):
General Specifications (2 Of 5):
General Specifications (3 Of 5):
General Specifications (4 Of 5):
General Specifications (5 Of 5):