Curiosii for ever!: Car repair manuals for everyone.

System Specifications

Automatic Transmission/Transaxle





Lubricants, Fluids, Sealers and Adhesives





Capacities





Direct Clutch Hub Shim Selection Chart





Transfer Shaft Shim Selection Chart





Differential Shaft Shim Selection Chart





Solenoid Operation Chart- Converter Engaged








Solenoid Operation Chart- Converter Disengaged








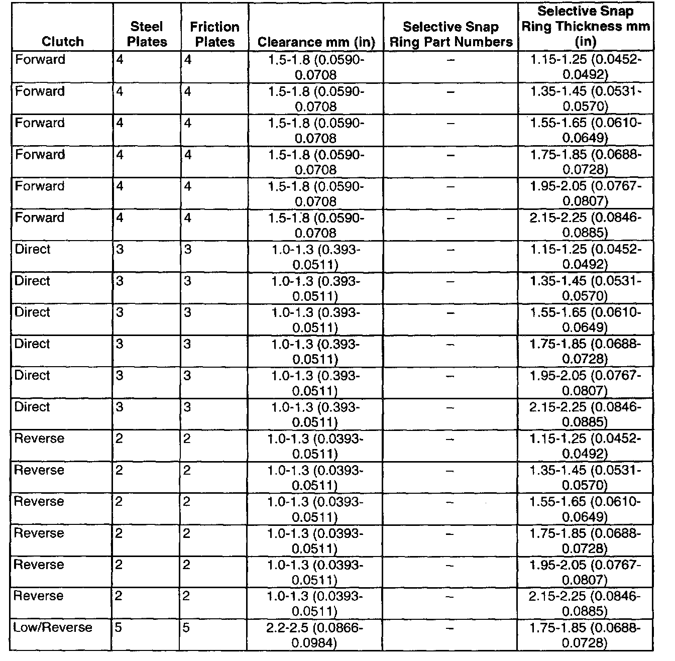
Clutch Plate Usage and Clearance Specification Chart





Intermediate/Overdrive Band Bolt Chart





Reference Band/Clutch Application Chart





Line Pressure Chart








Stall Speed Chart





Torque Specifications

Flex Plate Torque 82 Nm

Transmission/Transaxle Cooling






Lubricants, Fluids, Sealers and Adhesives





Torque Specifications

Automatic Transmission/Transaxle External Controls





Lubricants, Fluids, Sealers and Adhesives





Torque Specifications