Curiosii for ever!
: Car repair manuals for everyone.
Home
>>
Ford
>>
2002
>>
Crown Victoria V8-4.6L VIN W
>>
Repair and Diagnosis
>>
Body and Frame
>>
Locks
>>
Power Locks
>>
Testing and Inspection
>>
Pinpoint Tests
>>
Test F: Doors Do Not Lock/Unlock Using the Remote Transmitter
Test F: Doors Do Not Lock/Unlock Using the Remote Transmitter
F1 - F3:
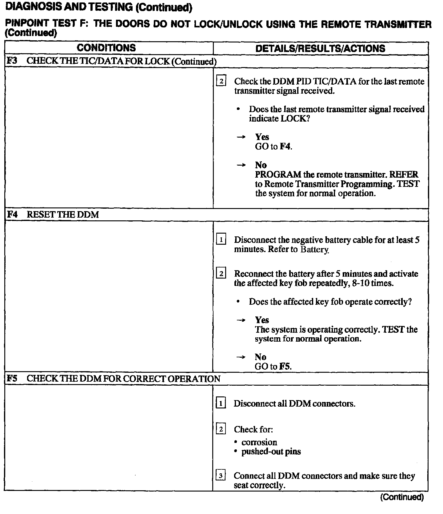
F3 - F5:
F5: