Curiosii for ever!: Car repair manuals for everyone.

Compression Check: Specifications

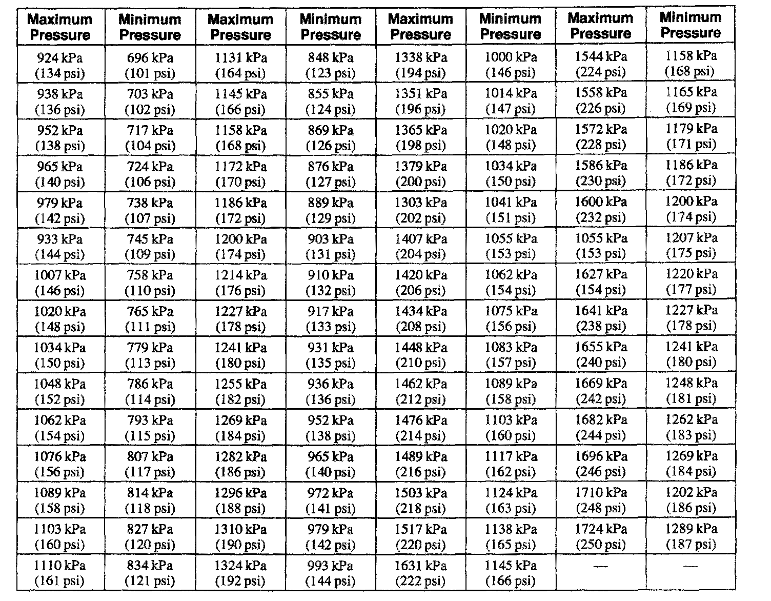
AllData Editors Note - Ford does not provide a cranking pressure specification, only an acceptable range.

Compression Pressure Limit Chart:





The indicated compression pressures are considered within specification if the lowest reading cylinder is within 75 percent of the highest reading. Refer to the Compression Pressure Limit Chart.