Curiosii for ever!: Car repair manuals for everyone.

With Manual Transmission

Typical Diagnostic Reference Values





Sensors/Inputs






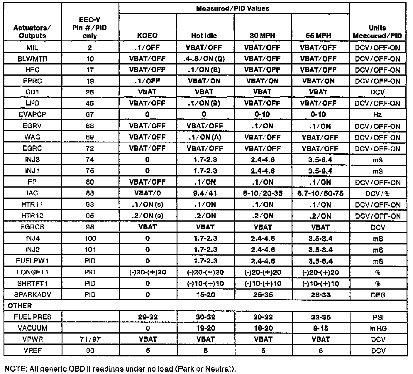
Actuators/Outputs






Generic OBDII Parameter Identification (PID) Values

NOTE: All generic OBDII readings under no load (PARK or NEUTRAL).

(A) A/C ON.
(B) Cooling fan on (single, low or high speed).
(C) O2S(s) should switch from rich to lean at least once every 3 seconds. O2S voltage should toggle above and below 0.450 DCV and never be a negative value. Valid O2S switching only occurs during closed loop fuel control.
(D) Downstream O2S(s) will stay at a constant voltage when the catalyst monitor is off (positive value only). When the catalyst monitor is on, O2S will switch rich to lean above and below 0.450 DCV and never be a negative value.
(E) Brake pedal depressed.
(F) Catalyst monitor off.
(G) With Transmission Control Switch (TCS) on, overdrive enabled.
(H) Values shown are commanded by the Powertrain Control Module (PCM) and may not be actual.
(I) Steering wheel turned.
(J) Clutch pedal depressed.
(K) Value is dependant upon ambient air temperature and may fall outside of range.
(L) Value is not useful under this condition.
(M) If equipped.
(N) Transmission in selected gear.
(O) Headlamps ON.
(P) Rear defrost ON.
(Q) Blower motor ON.
(R) Values recorded using 100% gasoline fuel mixture.
(S) May change state under this condition.