Identification Codes
Identification Codes
Vehicle Identification Number (VIN)
Vehicle Identification Number (VIN) Tag Locator
The Vehicle Identification Number (VIN) is a 17-digit combination of letters and numbers. The VIN (Vehicle Identification Number) is stamped on a metal tab riveted on the instrument panel, top upper left of the dash. The VIN (Vehicle Identification Number) is also found on the Vehicle Certification (VC) label.
If the VIN (Vehicle Identification Number) plate requires replacement, authorized dealers must contact their respective regional office.
World Manufacturer Identifier (WMI)
The first 3 VIN (Vehicle Identification Number) positions are the World Manufacturer Identifier (WMI).
- 2FM- Ford Motor Company, Canada, Multi-Purpose Vehicle (MPV)
- 2LM- Lincoln, Canada, MPV (Multi-Purpose Vehicle)
Gross Vehicle Weight Rating (GVWR) and Restraint System Type
The fourth VIN (Vehicle Identification Number) position identifies the Gross Vehicle Weight Rating (GVWR) and restraint system used.
- D- 5,001-6,000 lb GVWR (Gross Vehicle Weight Rating), driver and front passenger air bags and driver and front passenger side impact restraints
Line, Series and Body Type
VIN (Vehicle Identification Number) positions 5 through 7 indicate the vehicle line, series and body type.
- J6J- Lincoln MKX, FWD (Front Wheel Drive), Premium
- J8J- Lincoln MKX, AWD (All-Wheel Drive), Premium
- K3A- Ford Edge, Front Wheel Drive (FWD), Sport
- K3G- Ford Edge, FWD (Front Wheel Drive), SE
- K3J- Ford Edge, FWD (Front Wheel Drive), SEL
- K3K- Ford Edge, FWD (Front Wheel Drive), Limited
- K4A- Ford Edge, All-Wheel Drive (AWD), Sport
- K4G- Ford Edge, AWD (All-Wheel Drive), SE
- K4J- Ford Edge, AWD (All-Wheel Drive), SEL
- K4K- Ford Edge, AWD (All-Wheel Drive), Limited
Engine Type
The eighth VIN (Vehicle Identification Number) position is the engine type (displacement and number of cylinders).
- 9- 2.0L, GTDI (Gasoline Turbocharged Direct Injection), 4-cylinder
- C- 3.5L, DOHC, electronic fuel injection, V-6
- K- 3.7L, DOHC, electronic fuel injection, V-6
Engine specific information can be found on the engine tag. Refer to Engine.
Check Digit
The ninth VIN (Vehicle Identification Number) position is a government-assigned, computer-generated check digit.
Model Year
The tenth VIN (Vehicle Identification Number) position is the model year code.
- C- 2012
Assembly Plant
The eleventh VIN (Vehicle Identification Number) position is the assembly plant code.
- B- Oakville Assembly- Oakville, Ontario, Canada
Build Sequence
VIN (Vehicle Identification Number) positions 12 through 17 are an alphanumeric code for the vehicle build sequence. This is also the vehicle serial and warranty number. The serial number can also be found on the engine block and transmission.
- A00001-F99999- Ford
- J00001-L99999- Lincoln
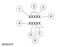
Vehicle Certification (VC) Codes
Vehicle Certification (VC) Label Locator
The upper portion of the Vehicle Certification (VC) label contains the manufacturers name, the month and year of manufacture, the certification statement and the Vehicle Identification Number (VIN). It also includes the Gross Vehicle Weight Rating (GVWR). The VC (Vehicle Certification) label is located on the LH door jamb.
If a vehicle requires replacement of the VC (Vehicle Certification) label and is 4 years old or less, an authorized dealer must submit the VIN (Vehicle Identification Number) to their respective regional office. The regional office will submit a web form to the assembly plant for the replacement label. Once the label has been printed, a representative from the regional office will deliver the label to the dealer and witness installation on the vehicle. If a vehicle is more than 4 years old and requires a replacement label, the dealer must submit a request to the Department of Motor Vehicles.
Exterior Paint
Exterior paint codes may be listed as a 2-part code. The first set of characters identify the primary body color. The second set of characters (if applicable) identify the vehicle accent or 2-tone body color. All colors are base coat/clear coat.
Exterior Color Codes
- DX- Dark Blue Pearl
- FQ- Bordeaux Reserve Red Metallic
- HS- Earth Metallic
- HT- Cinnamon
- JY- Ginger Ale
- JZ- Crystal Champagne
- L6- Kona Blue
- RZ- Red Candy Tint
- TK- Mineral Gray
- UA- Ebony Black
- UG- White Platinum (tri-coat)
- UX- Ingot Silver Metallic
- WS- White Suede
Wheelbase
- 111- 2,819 mm (111 in)
Interior Trim
Interior trim codes are listed as a 2-part code. The first character identifies the interior trim type. The second character identifies the interior trim color.
Interior Trim Type
- C- Luxury perforated leather seats- MKX
- D- Limited Edition luxury perforated leather seats- MKX
- E- Howell cloth seats- Edge
- F- Howell with Watchlink cloth seats- Edge
- G- Leather 1 seats- Edge
- H- Leather 2 (sport) seats- Edge
- J- Perforated SOHO grained leather seats- MKX
Interior Trim Color
- C- Canyon
- L- Medium Light Stone
- S- Sienna
- W- Charcoal Black
Tape/Paint Stripe
Tape and paint stripe codes do not apply.
Radio Type
- Z- AM/FM stereo with CD player and clock
Axle Type
Axle ratios are:
- 3C- 3.21 axle ratio
- 3E- 3.16 axle ratio
- 3F- 3.39 axle ratio
- 3G- 3.36 axle ratio
Specific axle information can be found on the axle tag.
Transmission Type
- 6- 6-speed Automatic Transmission (A/T)- 6F
- J- 6-speed Automatic Transmission (A/T) mid-range- 6F
Specific transmission information can be found on the transmission tag. Refer to Automatic Transmission/Transaxle &/or Transmission Control Systems.
Spring Code
Spring codes are listed as a 2-part code. Characters 1 and 2 identify the front springs. Characters 3 and 4 identify the rear springs. Front spring base part number is 5310, rear spring base part number is 5560.
Front Springs
- BB- Front Wheel Drive (FWD)
- CC- All-Wheel Drive (AWD)
Rear Springs
- AA
- BB
- CC
- GG
- HH
Powertrain Calibration Information
NOTE: Powertrain calibration information is limited to a maximum of 5 characters per line on the Vehicle Certification (VC) label. Because of this, calibration identification consisting of more than 5 characters will wrap to the second line on the VC (Vehicle Certification) label.
Powertrain calibration information is printed in the lower right corner of the VC (Vehicle Certification) label. Only base calibration information is printed. Revision levels will not appear, however, they can be obtained through a scan tool using the most up to date software revision.
Powertrain Calibration Information
Model Year
- 7- 2007
- 8- 2008
- 9- 2009
- A- 2010
- B- 2011
- C- 2012
Vehicle Line
- Q1- Ford Edge, Lincoln MKX
Transmission
- 1- Automatic Transmission (A/T)
Unique Calibration
The Emissions/Corporate Average Fuel Economy/CO2 Compliance Department is responsible for assigning these calibration numbers. Unique calibration identifications are assigned to cover similar vehicles to differentiate tires, drive configurations, final drive ratios and other calibration-significant factors.
These 2 characters are chosen by the analyst to provide identifiable information unique to each calibration. For example, using the number 2 to denote a 2-valve engine versus using the number 4 to denote a 4-valve engine, offers an easily identifiable difference.
Fleet Code
- 0- Certification (U.S. 4K, final sale in export markets)
- 1- Heavy Duty Gas Engine/Dyno
- 2- Fast- Automobile Manufacturers Association, U.S.
- 3- Alternative Durability Protocol, U.S.
- 4- Not assigned
- 5- Not assigned
- 6- Evaporative Emission (EVAP)
- 7- Mileage Accumulation, Aging endurance durability
- 8- On-Board Diagnostic (OBD)
- 9- Not assigned
Certification Region
- 5- U.S. 50 states
- A- U.S. federal, including altitude, may include Canada and/or Mexico
- B- U.S. California, includes U.S. green states
- C- Canada
- D- China
- E- European Community (Austria, Belgium, Denmark, Finland, France, Germany, Greece, Ireland, Italy, Luxembourg, Netherlands, Portugal, Spain, Sweden, United Kingdom)
- F- Extended European Community (E plus Croatia, Czech Republic, Estonia, Hungary, Norway, Poland, Romania, Russian Federation, Slovakia, Slovenia, Switzerland, Yugoslavia)
- G- Gulf Cooperative Council (Bahrain, Kuwait, Oman, Qatar, Saudi Arabia, United Arab Emirates)
- H- Hong Kong
- J- Japan
- K- Korea
- L- Malaysia
- M- Mexico
- N- New Zealand
- P- Australia
- Q- South America (Brazil)
- S- Singapore
- T- Taiwan
- U- South America (unleaded fuel)
- V- Vietnam
- X- Rest Of World (ROW)
- Y- Military
- Z- Israel
Revision Level (not printed on label)
- 91-99- Hardware calibration levels
- 01-04- Preliminary levels
- 00- Job 1 production (initial calibration)
- 05-09- Pre-job 1 revisions to calibrations
- 10-89- Post-job 1 revisions to calibrations
- 0B- Durability test level
- BD- On-Board Diagnostic (OBD) intermediate level (pre-05)