Curiosii for ever!: Car repair manuals for everyone.

Test HN: Turbocharger System



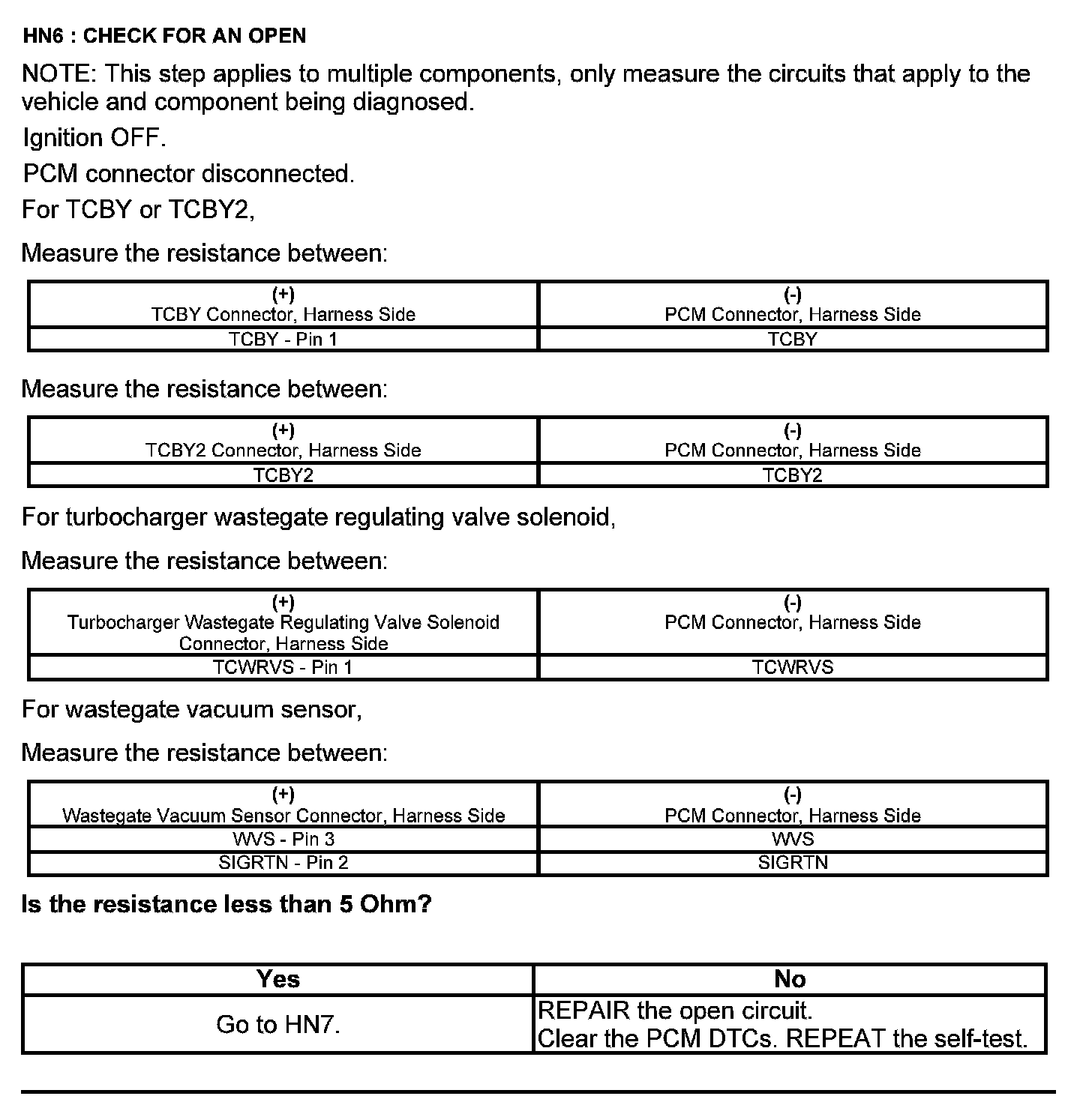
Turbocharger System






















Turbocharger Bypass Valve (TCBY) Connector






Harness Side







Turbocharger Wastegate Regulating Valve Solenoid Connector






Harness Side







Wastegate Vacuum Sensor Connector






Harness Side







Powertrain Control Module (PCM) Connector - For PCM connector views or reference values, refer to Reference Values.






Harness Side