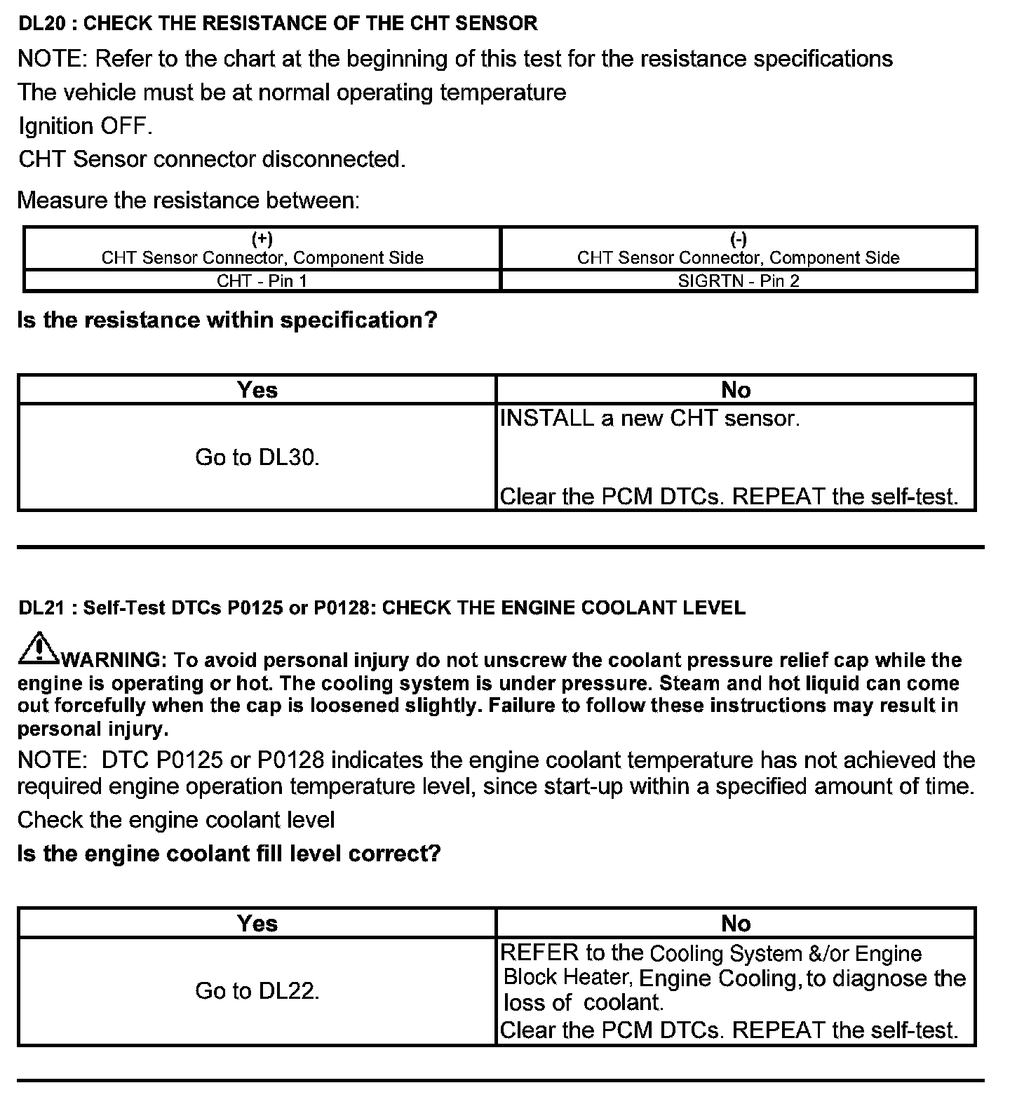
Test DL: Cylinder Head Temperature (CHT) Sensor
Cylinder Head Temperature (CHT) Sensor
Cylinder Head Temperature (CHT) Sensor Connector
Harness Side
Powertrain Control Module (PCM) Connector - For PCM connector views or reference values, refer to Reference Values.
Harness Side