Curiosii for ever!
: Car repair manuals for everyone.
Home
>>
Ford Truck
>>
2011
>>
Explorer FWD V6-3.5L
>>
Repair and Diagnosis
>>
Powertrain Management
>>
Computers and Control Systems
>>
Testing and Inspection
>>
Pinpoint Tests
>>
Test HF: Catalyst Efficiency Monitor and Exhaust Systems
Test HF: Catalyst Efficiency Monitor and Exhaust Systems
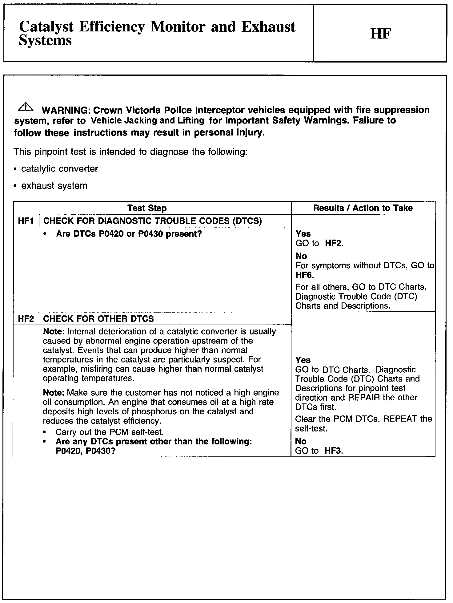
PINPOINT TEST HF: CATALYST EFFICIENCY MONITOR AND EXHAUST SYSTEMS
HF1-HF2:
HF3-HF4:
HF5-HF8:
HF9-HF10: