Curiosii for ever!: Car repair manuals for everyone.

Test KC: Fuel Pump Control Module

PINPOINT TEST KC: FUEL PUMP CONTROL MODULE


Warning And Fuel Pump Control Module Connector:






Inertia Fuel Shutoff (IFS) Switch Connector And Powertrain Control Module (PCM) Connector:






KC1-KC3:






KC4-KC7:






KC8-KC11:






KC12-KC14:






KC15-KC18:






KC19-KC22:






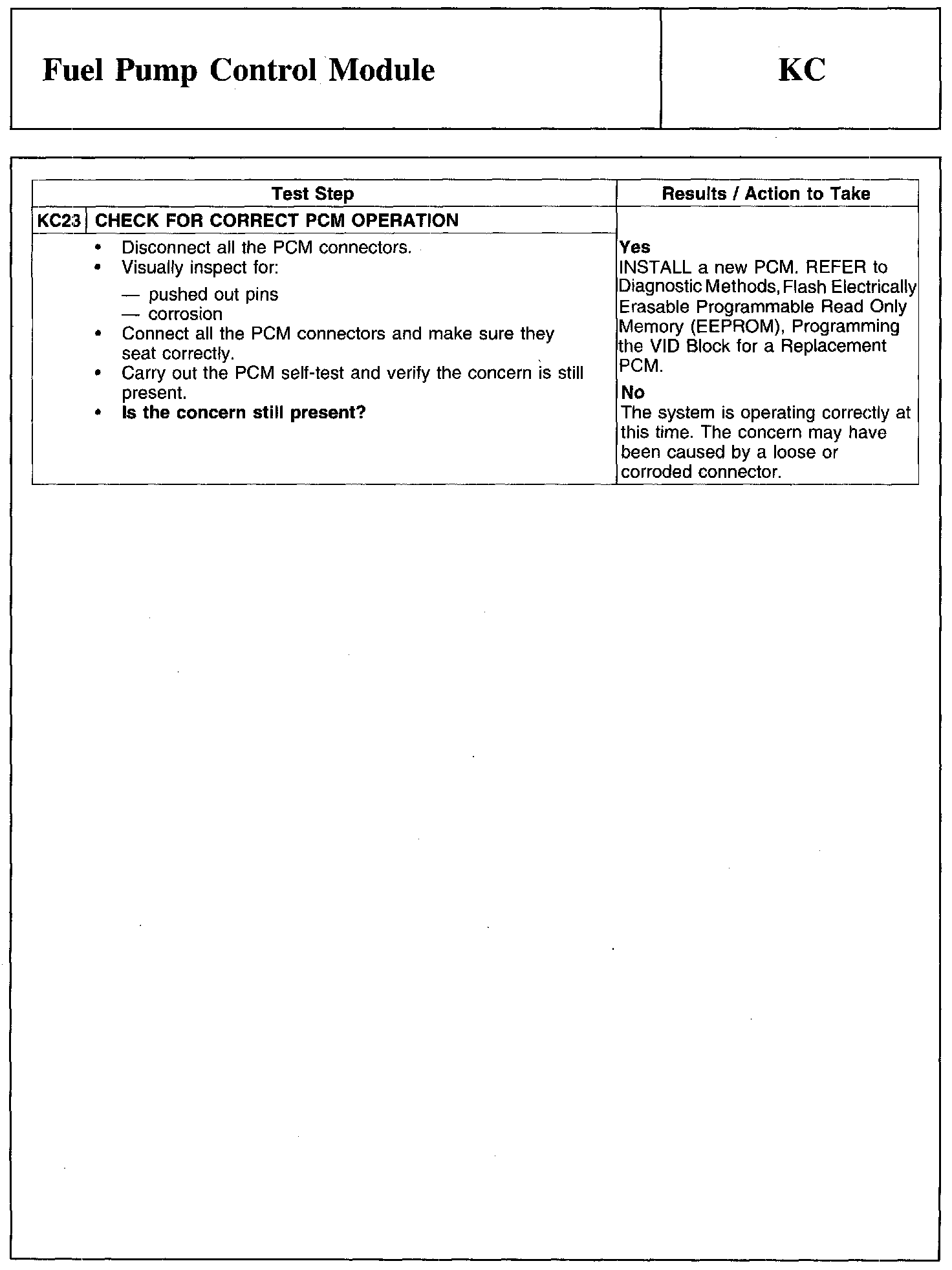
KC23: