Curiosii for ever!
: Car repair manuals for everyone.
Home
>>
Ford Truck
>>
2010
>>
Escape 2WD L4-2.5L Hybrid
>>
Repair and Diagnosis
>>
Powertrain Management
>>
Computers and Control Systems
>>
Testing and Inspection
>>
Pinpoint Tests
>>
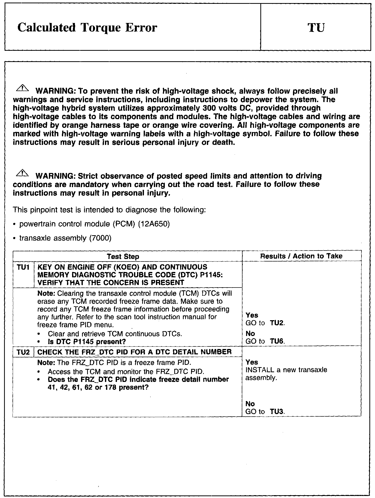
Test TU: Calculated Torque Error
Test TU: Calculated Torque Error
PINPOINT TEST TU: CALCULATED TORQUE ERROR
TU1-TU2:
TU3-TU6:
TU7-TU10:
TU11: