Curiosii for ever!: Car repair manuals for everyone.

Typical Diagnostic Reference Values

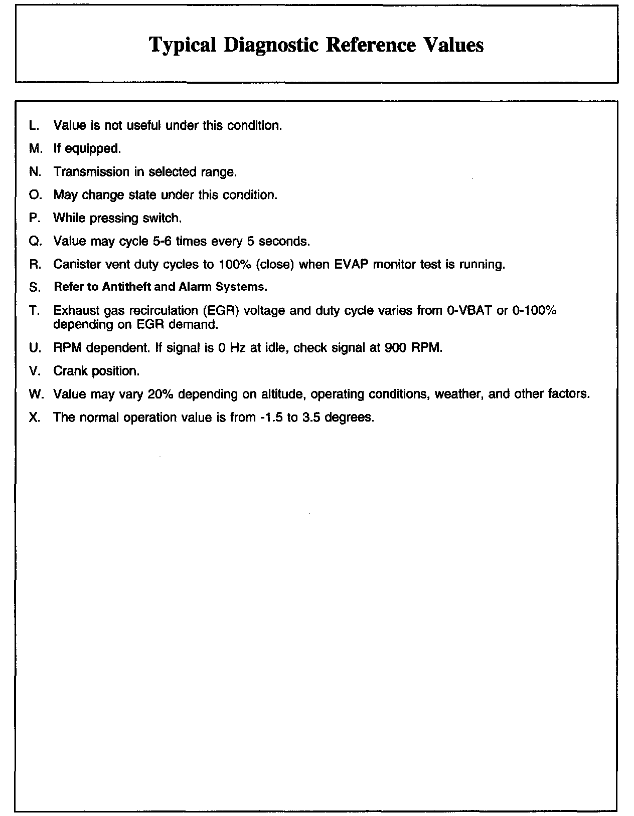
Typical Diagnostic Reference Values Notes (Part 1):





Typical Diagnostic Reference Values Notes (Part 2):





4.0L Explorer/Explorer Sport Trac/Mountaineer (Part 1):





4.0L Explorer/Explorer Sport Trac/Mountaineer (Part 2):





4.0L Explorer/Explorer Sport Trac/Mountaineer (Part 3):