Curiosii for ever!
: Car repair manuals for everyone.
Home
>>
Ford Truck
>>
2004
>>
Excursion 4WD V10-6.8L VIN S
>>
Repair and Diagnosis
>>
Maintenance
>>
Alignment
>>
Specifications
>>
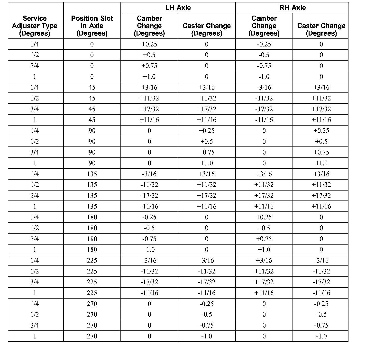
Camber/Caster Service Adjuster Selection Chart
Camber/Caster Service Adjuster Selection Chart
Camber/Caster Service Adjuster - F-250/F-350, 4X4, And F-450, F-550 Part 1:
Camber/Caster Service Adjuster - F-250/F-350, 4X4, And F-450, F-550 Part 2: