Curiosii for ever!
: Car repair manuals for everyone.
Home
>>
Ford Truck
>>
2003
>>
Excursion 4WD V8-6.0L DSL Turbo
>>
Repair and Diagnosis
>>
Maintenance
>>
Alignment
>>
Specifications
>>
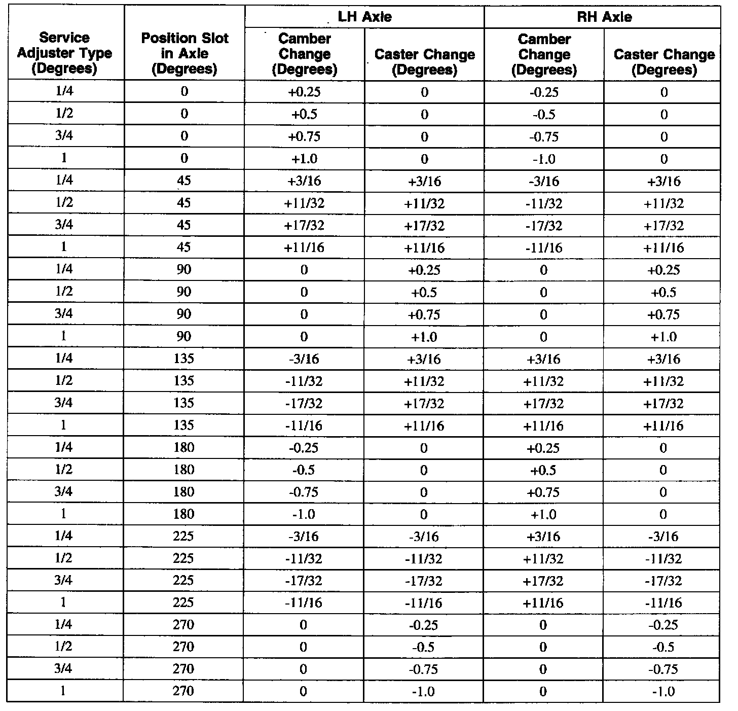
Camber/Caster Service Adjuster Selection Chart
Camber/Caster Service Adjuster Selection Chart
Camber/Caster Service Adjuster-F-250 and F-350, 4x4 and F-450, F-550
Part 1 Of 2:
Part 2 Of 2: