Curiosii for ever!
: Car repair manuals for everyone.
Home
>>
Ford Truck
>>
2002
>>
Windstar V6-3.8L VIN 4
>>
Repair and Diagnosis
>>
Powertrain Management
>>
Computers and Control Systems
>>
Information Bus
>>
Testing and Inspection
>>
Pinpoint Tests
>>
Test M: No Module/Network Communication - SCP Network
Test M: No Module/Network Communication - SCP Network
M1:
M2 - M3:
M3 - M4:
M5 - M6:
M7 - M8:
M9 - M10:
M11:
M12:
M13 - M14:
M14 - M15:
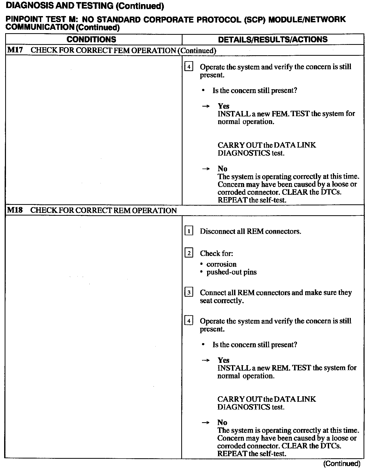
M16 - M17:
M17 - M18:
M19 - M20:
M20: