Curiosii for ever!
: Car repair manuals for everyone.
Home
>>
Ford Truck
>>
2002
>>
Ranger 4WD L4-2.3L VIN D
>>
Repair and Diagnosis
>>
Powertrain Management
>>
Computers and Control Systems
>>
Information Bus
>>
Testing and Inspection
>>
Pinpoint Tests
>>
Test G: No Module/Network Communication - ISO 9141 Network
Test G: No Module/Network Communication - ISO 9141 Network
G1 - G2:
G2 - G4:
G4 - G6:
G6 - G8:
G8 - G9:
G10 - G12:
G12 - G13:
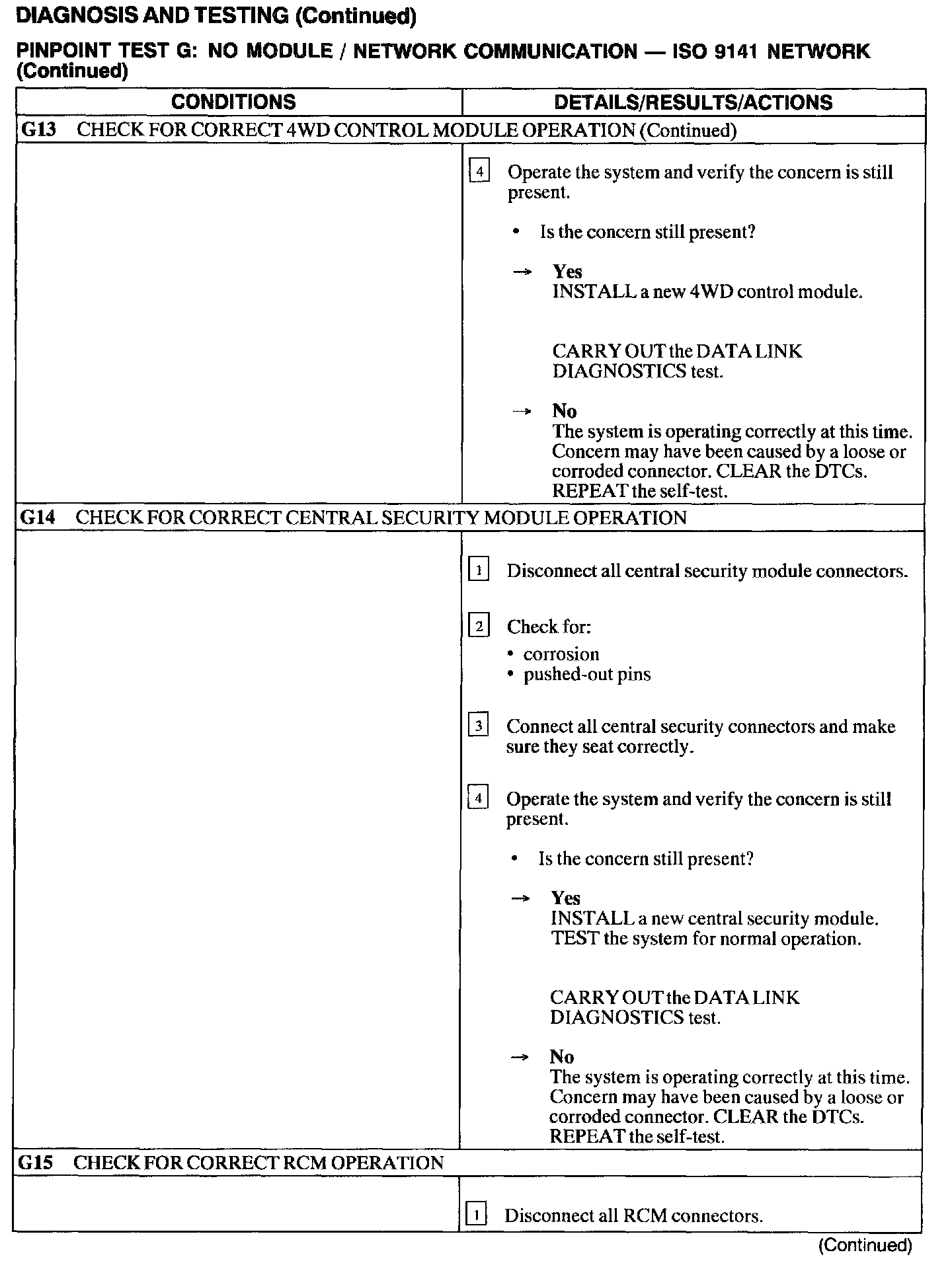
G13 - G15:
G15 - G16:
G16: