Curiosii for ever!
: Car repair manuals for everyone.
Home
>>
Ford Truck
>>
2002
>>
Excursion 2WD V10-6.8L
>>
Repair and Diagnosis
>>
Powertrain Management
>>
Emission Control Systems
>>
Evaporative Emissions System
>>
Testing and Inspection
>>
Pinpoint Tests
>>
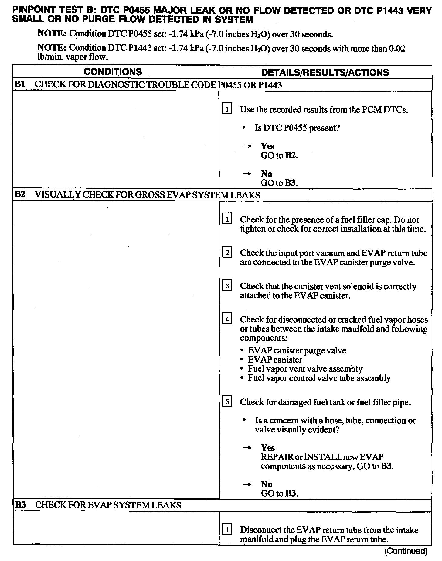
Test B: DTC P0455/P1443 No Flow Detected In System
Test B: DTC P0455/P1443 No Flow Detected In System
B1 - B3:
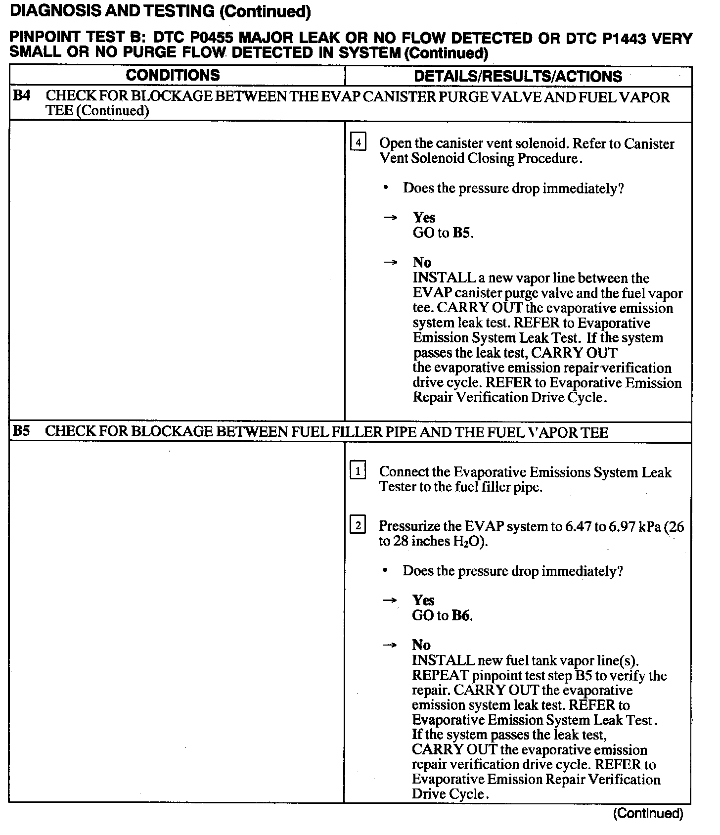
B3 - B4:
B4 - B5:
B6: