Curiosii for ever!
: Car repair manuals for everyone.
Home
>>
Ford Truck
>>
2002
>>
Excursion 2WD V10-6.8L
>>
Repair and Diagnosis
>>
Powertrain Management
>>
Computers and Control Systems
>>
Testing and Inspection
>>
Pinpoint Tests
>>
Tests DD: Fuel Rail Pressure (FRP) Sensor
Tests DD: Fuel Rail Pressure (FRP) Sensor
Note, Table and Description:
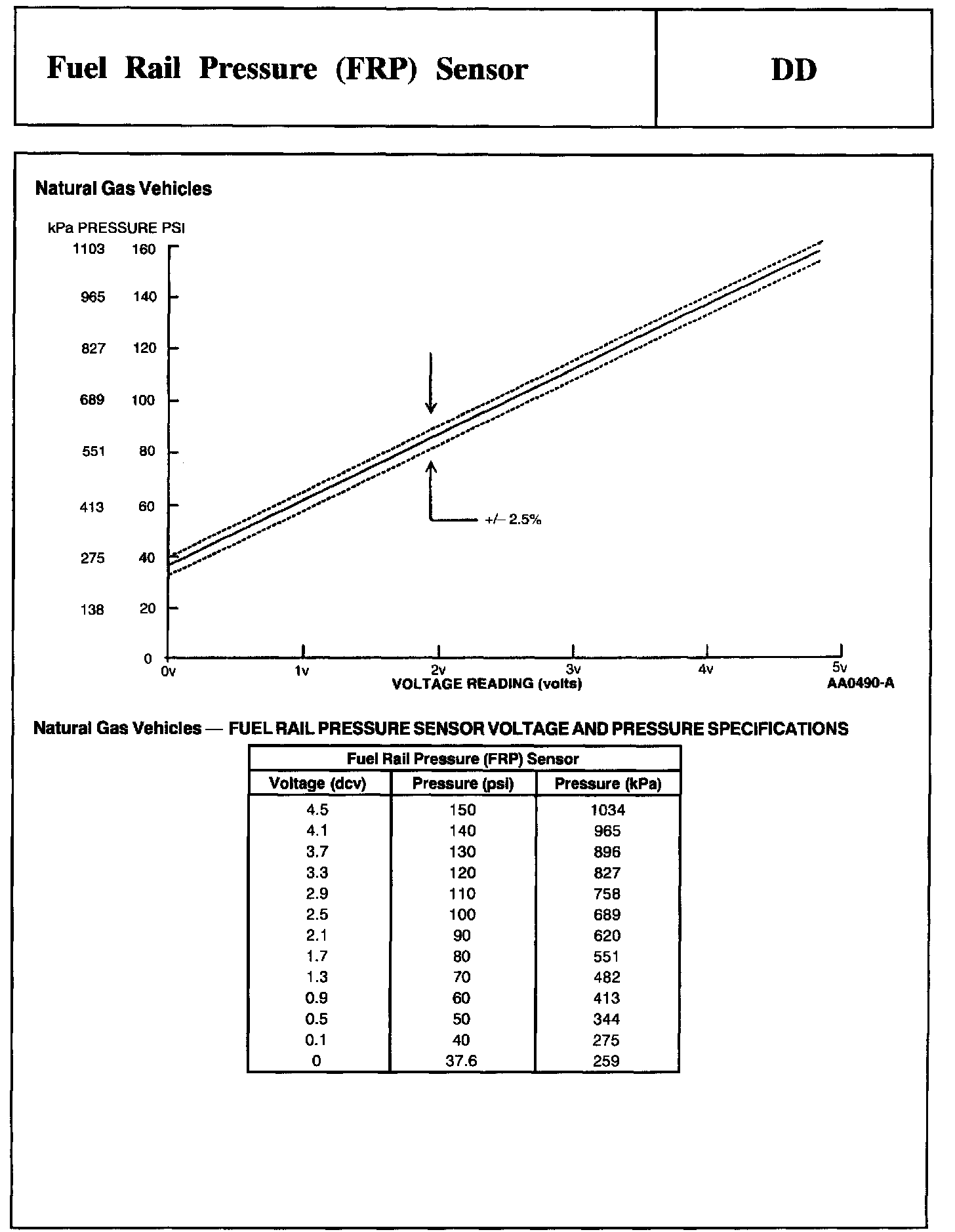
Tables and Graphs:
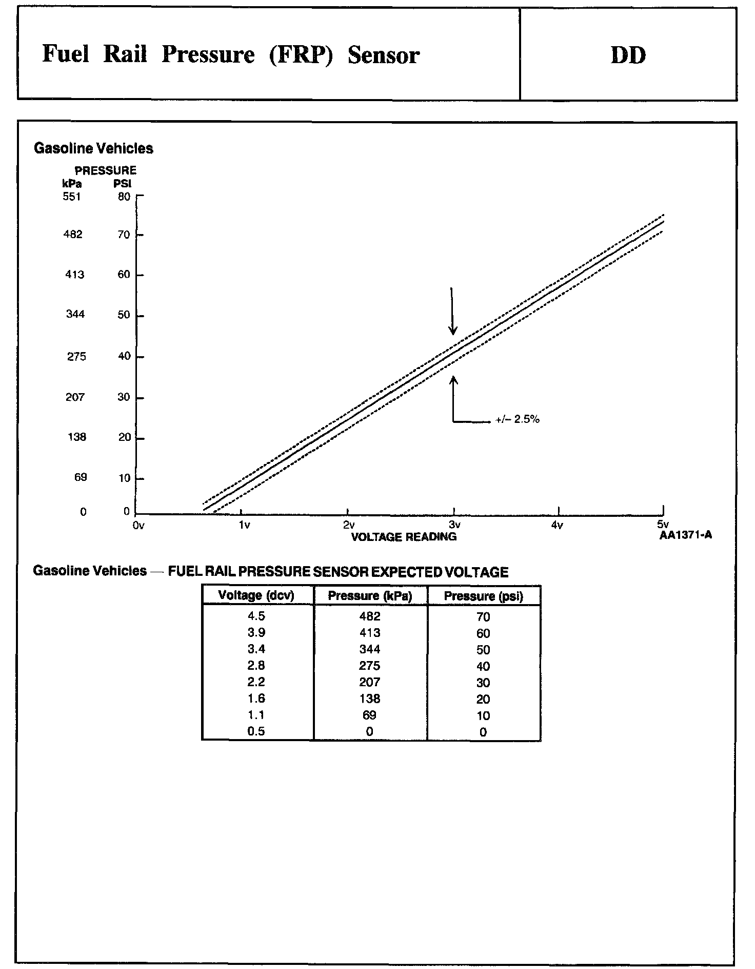
Tables and Graphs:
Schematics and Connectors, Test DD1 - DD3:
DD4 - DD9:
DD10 - DD13:
DD14 - DD16:
DD17 - DD20:
DD21 - DD24:
DD25: