Curiosii for ever!
: Car repair manuals for everyone.
Home
>>
Ford Truck
>>
2001
>>
Windstar V6-3.8L VIN 4
>>
Repair and Diagnosis
>>
Powertrain Management
>>
Computers and Control Systems
>>
Information Bus
>>
Testing and Inspection
>>
Pinpoint Tests
>>
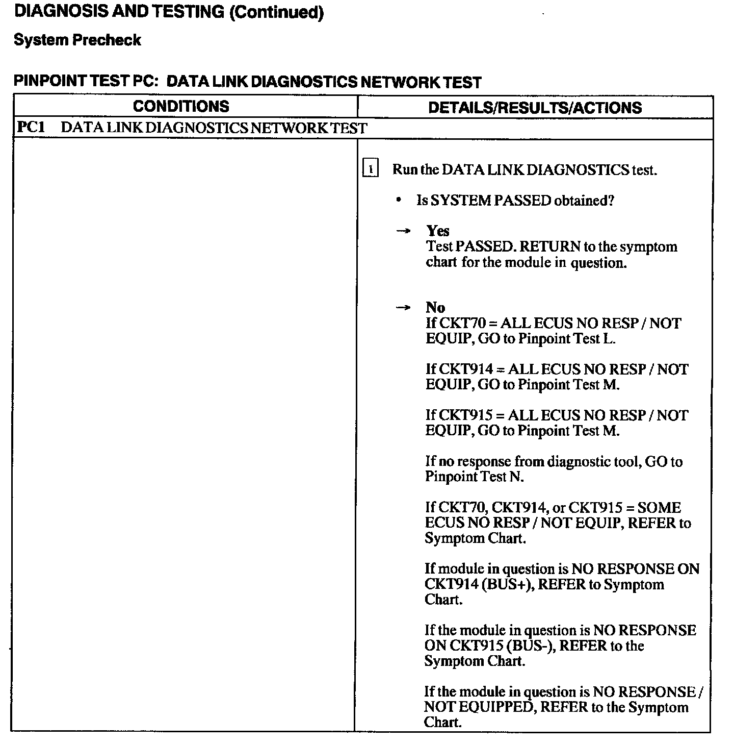
Pinpoint Test PC (Precheck)
Pinpoint Test PC (Precheck)
PC1: