Curiosii for ever!
: Car repair manuals for everyone.
Home
>>
Ford Truck
>>
2001
>>
Windstar V6-3.8L VIN 4
>>
Repair and Diagnosis
>>
Accessories and Optional Equipment
>>
Antitheft and Alarm Systems
>>
Testing and Inspection
>>
Scan Tool Testing and Procedures
>>
Active Command Indexes
>>
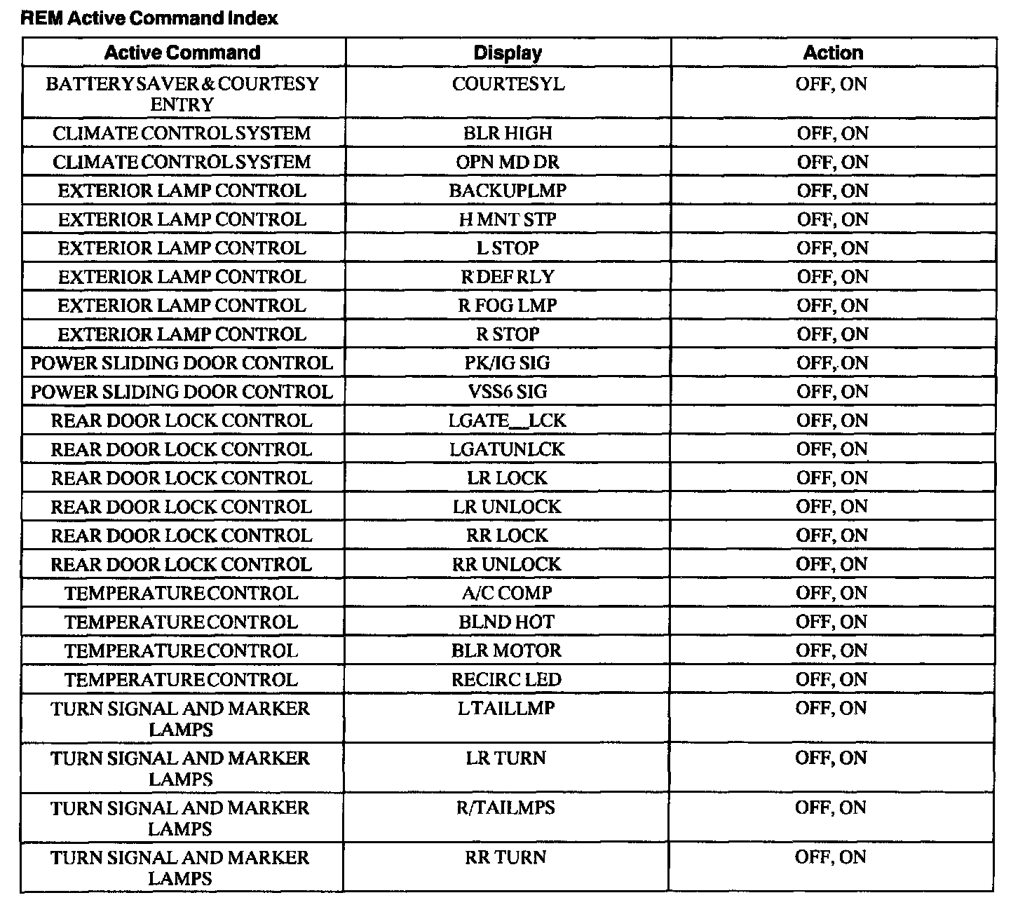
Rear Electronic Module (REM) Active Command Index
Rear Electronic Module (REM) Active Command Index
REM Active Command Index: