Curiosii for ever!
: Car repair manuals for everyone.
Home
>>
Ford Truck
>>
2001
>>
Excursion 2WD V10-6.8L VIN Z Bi-Fuel
>>
Repair and Diagnosis
>>
Body and Frame
>>
Locks
>>
Power Locks
>>
Testing and Inspection
>>
Pinpoint Tests
>>
Pinpoint Tests - Module Controlled
>>
Test M: Keyless Entry Remote Transmitter Out of Synchronization
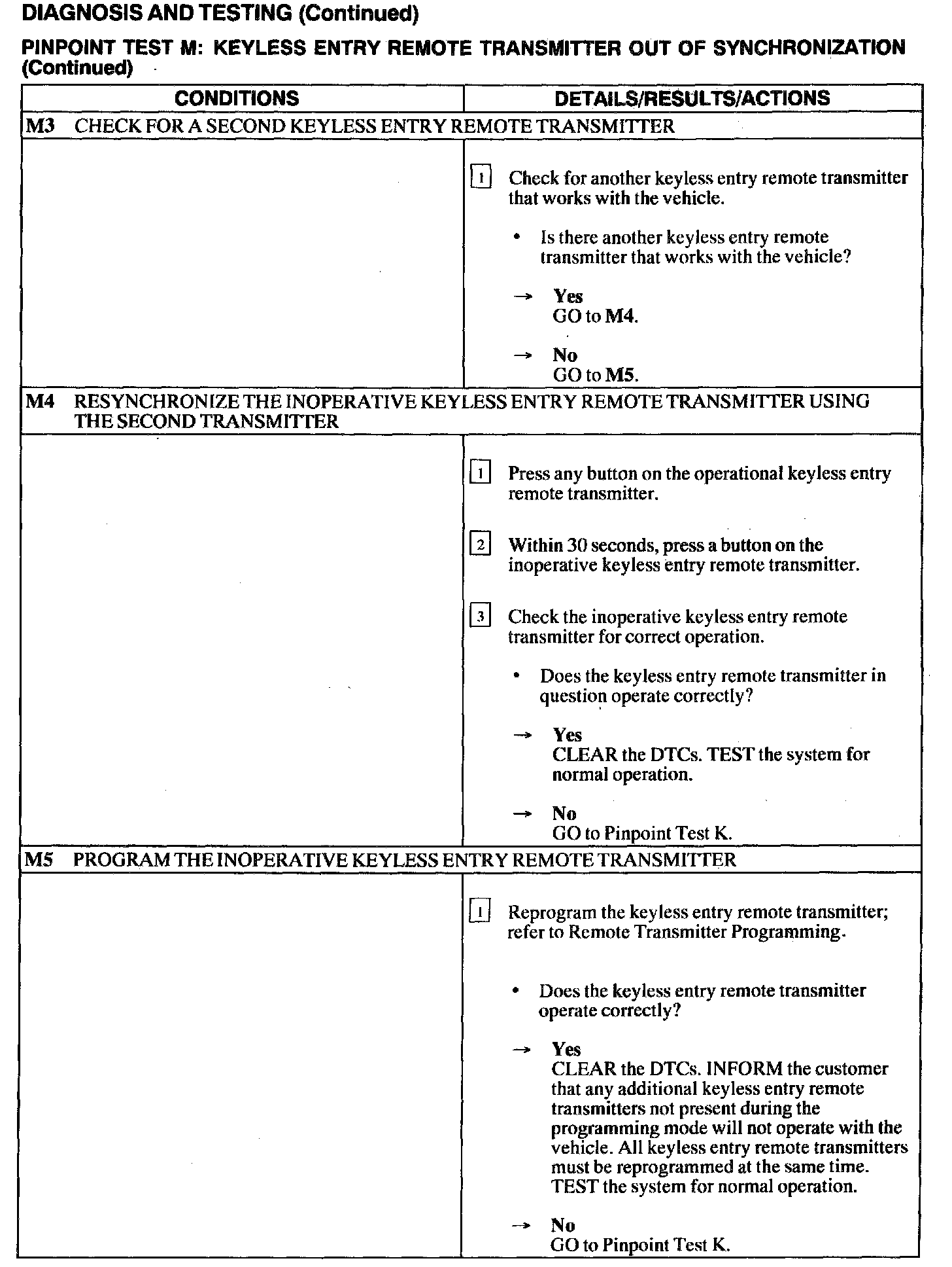
Test M: Keyless Entry Remote Transmitter Out of Synchronization
M1 - M2:
M3 - M5: