Curiosii for ever!
: Car repair manuals for everyone.
Home
>>
Eagle
>>
1990
>>
Talon FWD L4-1997cc 2.0L DOHC Turbo
>>
Repair and Diagnosis
>>
Specifications
>>
Mechanical Specifications
>>
Manual Transmission/Transaxle
>>
System Specifications
>>
Clearance and Design Specifications
Clearance and Design Specifications
General Specifications:
Service Specifications:
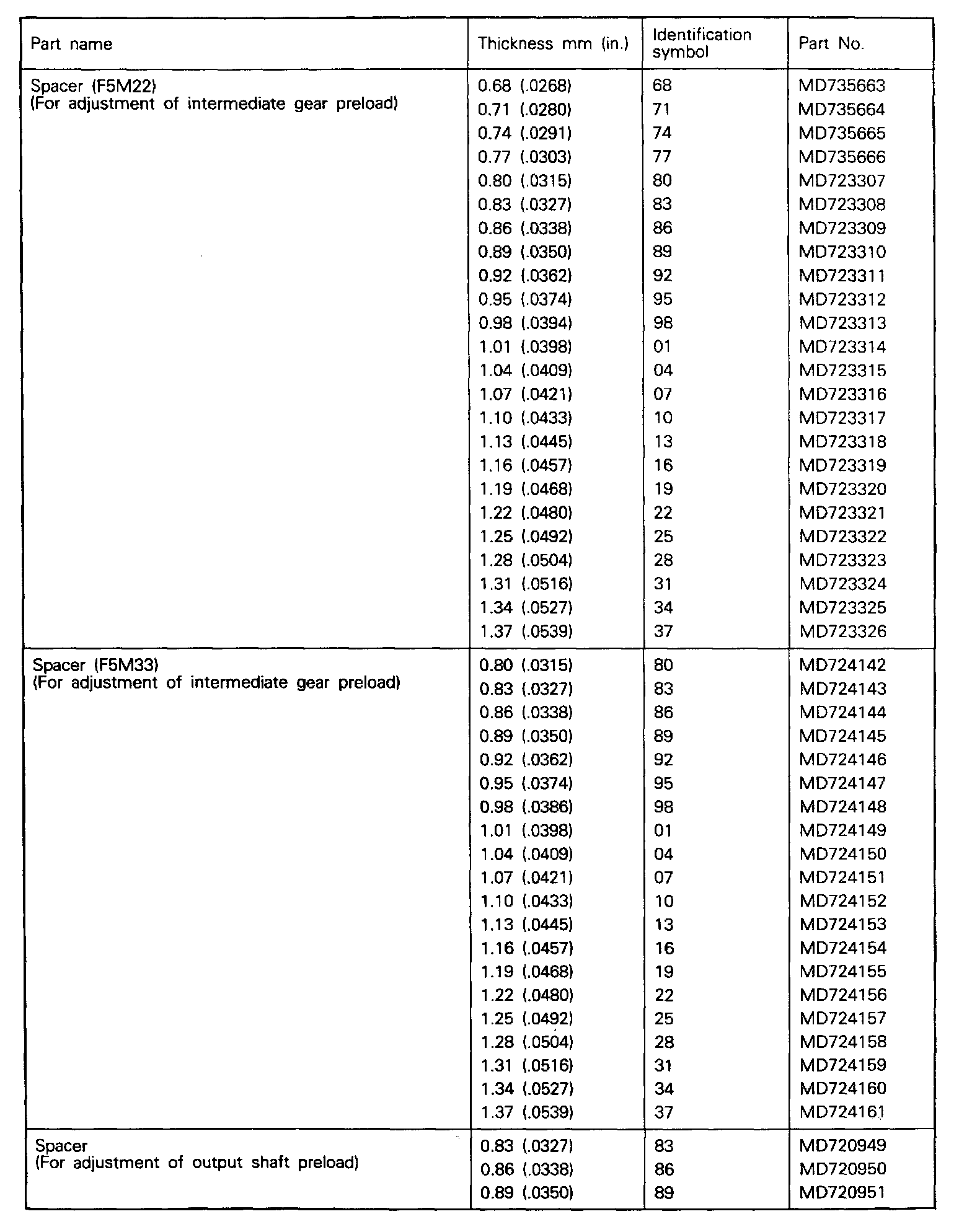
Snap Ring (For Adjustment) And Spacer:
Continued:
Continued:
Continued:
Lubricants: