Curiosii for ever!: Car repair manuals for everyone.

Part 1






ASSEMBLY

Special Tools:























CAUTION: The cooler bypass valve must be replaced if transaxle failure has occurred. Do not attempt to reuse or clean old valve.

NOTE: If transaxle is being overhauled (clutch and/or seal replacement), the TCM/PCM Quick Learn procedure must be performed . Quick Learn Procedure

1. Install both output bearing cups (2) using Installer (1).










2. Install low/reverse piston retainer gasket (2) Make sure gasket holes line up with case (1).










3. Install low/reverse piston retainer (1).










4. Install low/reverse piston retainer-to-case screws (3) and tighten to 5 Nm (45 in. lbs.).










NOTE: The Low/Reverse Clutch Piston has bonded seals which are not individually serviceable. Seal replacement requires replacement of the piston assembly.

5. Install low/reverse clutch piston (1).










6. Install low/reverse piston return spring (1).










7. Install Disk (1)(Figure 7), Compressor (2) and Compressor Bar (3).










8. Install low/reverse spring compressor into position.










9. Compress low/reverse piston and install snap ring (1).










10. Install rear carrier bearing cone (3) using Installer (1).





11. Install rear carrier assembly (1) to transaxle case.










12. Install output gear bearing cone using Installer (3).










13. OUTPUT GEAR BEARING ADJUSTMENT:
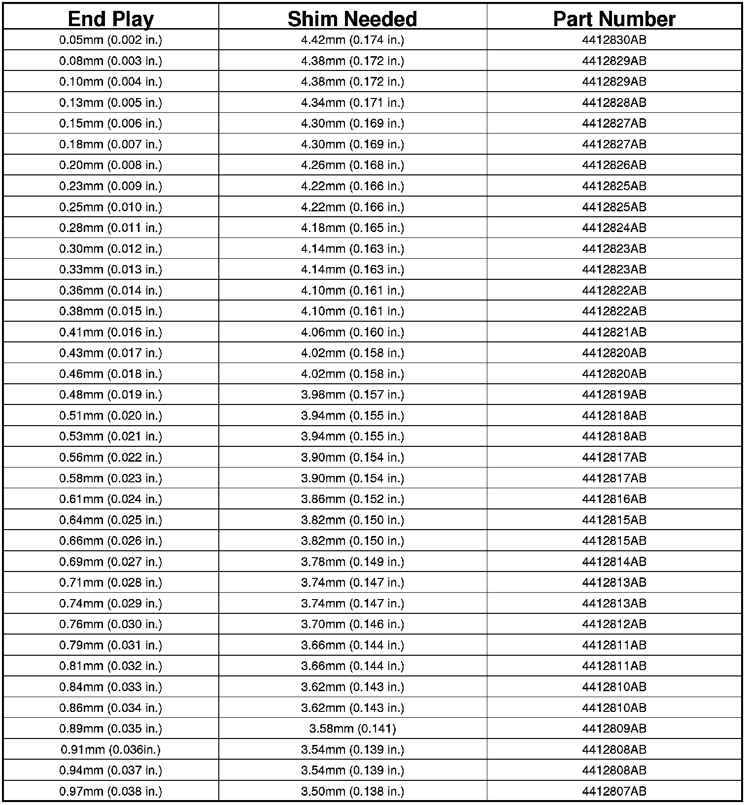
a. With output gear removed, install a 4.50 mm (0.177 in.) gauging shim on the rear carrier assembly hub, using grease to hold the shim in place.
b. Using Holder , install output gear, bearing assembly and bolt. Tighten to 271 Nm (200 ft. lbs.).
c. Measure bearing end play. Attach Gear Checking Plate (1) to the gear.
d. Push and pull the gear while rotating back and forth to ensure seating of bearing rollers.
e. Using a dial indicator mounted to the transaxle case, measure output gear end play.
f. Refer to the output gear bearing shim chart for the required shim to obtain proper bearing setting.
g. Use Holder to remove the output gear retaining bolt and washer. To remove the output gear, use Gear Puller.
h. Remove the gauging shim and install the proper shim determined by the chart. Use grease to hold the shim in place.

OUTPUT GEAR BEARING SHIM CHART















14. Install the output transfer gear (3) and bearing assembly using Installer (2).





15. Install NEW output transfer gear retaining bolt and washer.
16. Install Holder (1) onto the output transfer gear (2).
17. Tighten output transfer gear retaining bolt to 271 Nm (200 ft. lbs.).





18. Using an inch pound torque wrench, check output shaft turning torque. Output shaft turning torque should be within 0.4-1.0 Nm (3-8 in. lbs). If the turning torque is too high, install a 0.04 mm (0.0016 in.) thicker shim. If the turning torque is too low, install a 0.04 mm (0.0016 in.) thinner shim. Repeat until the proper turning torque of 0.4-1.0 Nm (3-8 in. lbs). is obtained.










19. Install low/reverse clutch pack (1,2). Leave uppermost disc out until snap ring is installed.










20. Install low/reverse reaction plate flat snap ring (2), insure you do not scratch clutch plate (3).










21. Install remaining low/reverse clutch disc (1).










22. Install low/reverse reaction plate (1).





23. Ensure that the plate is installed with the bevel / lug side up.





24. Use as a reference while installing tapered snap ring.










25. Install tapered snap ring (with tapered side up) (2).










26. Set up dial indicator (1) to measure low/reverse clutch clearance. Press down on clutch pack with finger and zero dial indicator. Low/Reverse clutch pack clearance is 0.89-1.47 mm (0.035-0.058 in.). Set up indicator and record measurement in four places. Take average of readings and select the proper low/reverse reaction plate to achieve specifications.

LOW/REVERSE REACTION PLATE CHART















27. Install 2/4 clutch pack (1, 2).










NOTE: The 2/4 Clutch Piston has bonded seals which are not individually serviceable. Seal replacement requires replacement of the piston assembly.

28. Orient 2/4 clutch return spring to retainer (3).










29. Install 2/4 clutch retainer to transaxle (1, 2).










30. Using Compressing Tool (1), compress 2/4 clutch return spring just enough to install snap ring (3).
31. Install snap ring.










32. Set up dial indicator (1) and measure 2/4 clutch clearance. Press down on clutch pack with finger and zero dial indicator. 2/4 clutch pack clearance is 0.76-2.64 mm (0.030-0.104 in.). Set up indicator and record measurement in four places. Take average of readings. If clearance is outside this range, the clutch is assembled improperly. There is no adjustment for 2/4 clutch clearance.










NOTE: The number seven needle (1) bearing has three anti-reversal tabs and is common with the number five position. The orientation should allow the bearing to seat flat against the rear sun gear. A small amount of petrolatum can be used to hold the bearing to the rear sun gear (2).











33. Install rear sun gear (2) and number seven needle bearing (1).










34. Install front carrier/rear annulus assembly (2) and number six needle bearing (1).










35. Install front sun gear assembly (1) and number four thrust washer (2).










36. Select the thinnest number four thrust plate thickness (2) and install to input clutch assembly. Use petrolatum to retain (3).