Curiosii for ever!
: Car repair manuals for everyone.
Home
>>
Dodge
>>
1994
>>
Stealth R/T V6-2972cc 3.0L DOHC Turbo
>>
Repair and Diagnosis
>>
Powertrain Management
>>
Computers and Control Systems
>>
Technical Service Bulletins
>>
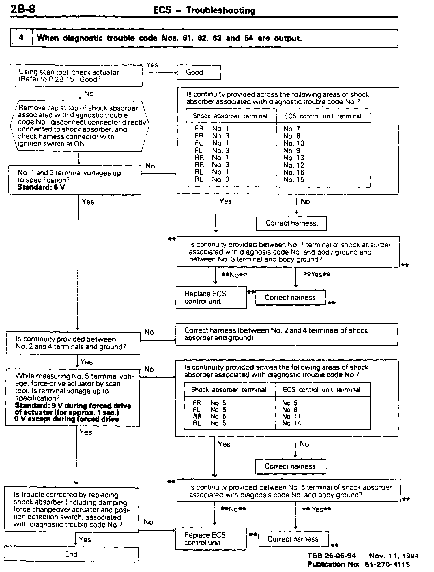
Engine Controls - DTC Test Step Addition
Engine Controls - DTC Test Step Addition
NUMBER: 26-06-94A
GROUP: Miscellaneous
DATE: Nov. 11, 1994
REVISIONS ARE HIGHLIGHTED WITH **ASTERISKS**
Models:
1994 Stealth - Publication No. 81-270-4115
DESCRIPTION OF CHANGES
Continuity Step Added.
2B-8