Curiosii for ever!
: Car repair manuals for everyone.
Home
>>
Dodge
>>
1993
>>
Colt L4-1795cc 1.8L SOHC
>>
Repair and Diagnosis
>>
Powertrain Management
>>
Transmission Control Systems
>>
Testing and Inspection
>>
Symptom Related Diagnostic Procedures
>>
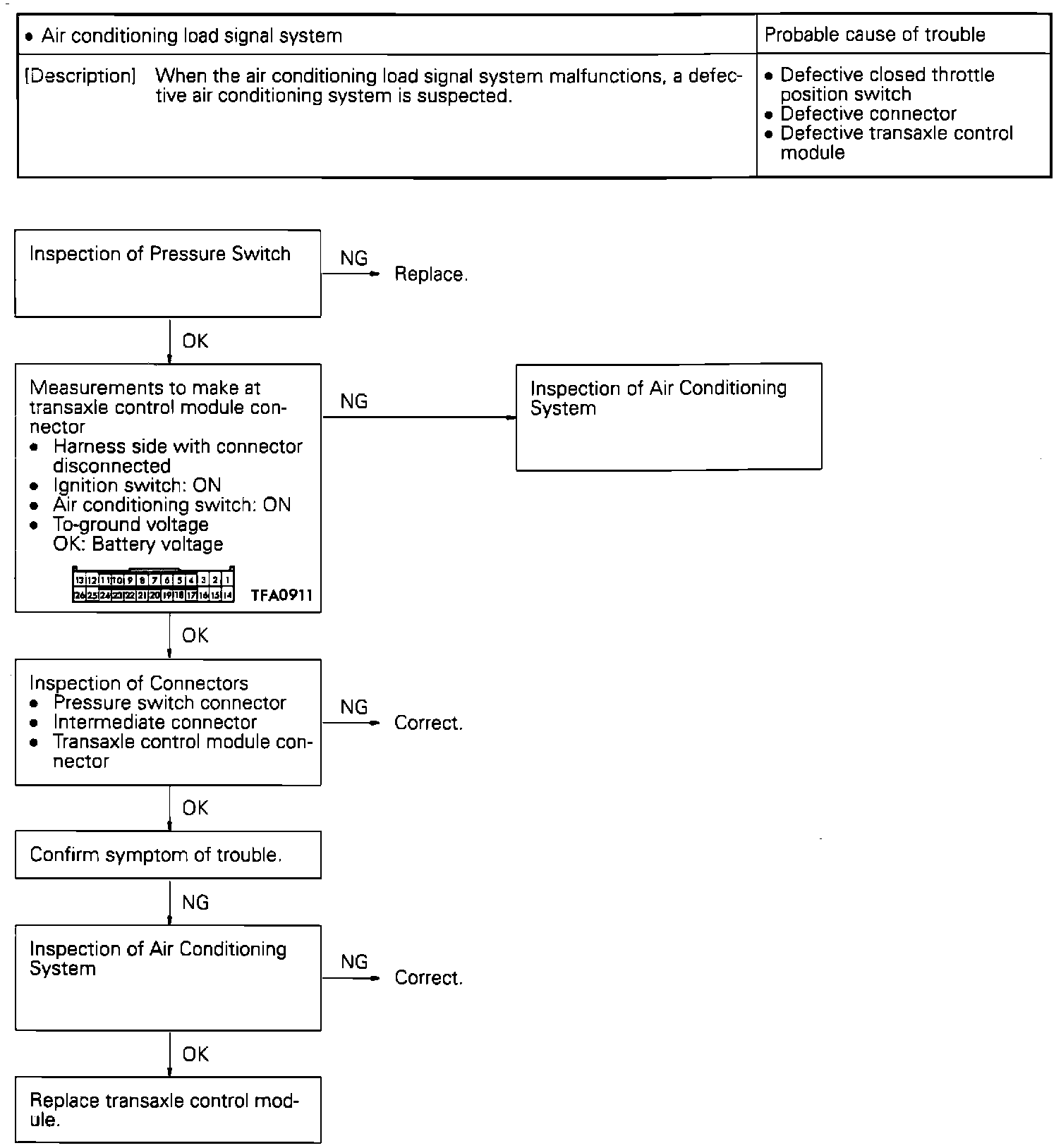
Air Conditioning Load Signal System
Air Conditioning Load Signal System