Curiosii for ever!: Car repair manuals for everyone.

Connector Location Index




DESCRIPTION
This section provides illustrations identifying connector, ground and splice locations in the vehicle. Connector, ground and splice indexes are provided. Use the wiring diagrams in each section for connector, ground and splice identification. Refer to the appropriate index for the proper figure number. For items that are not shown in this section N/S is placed in the Fig. column.


CONNECTORS

Ac-As:




As-C116:




C117-C305:




C305-Cl:




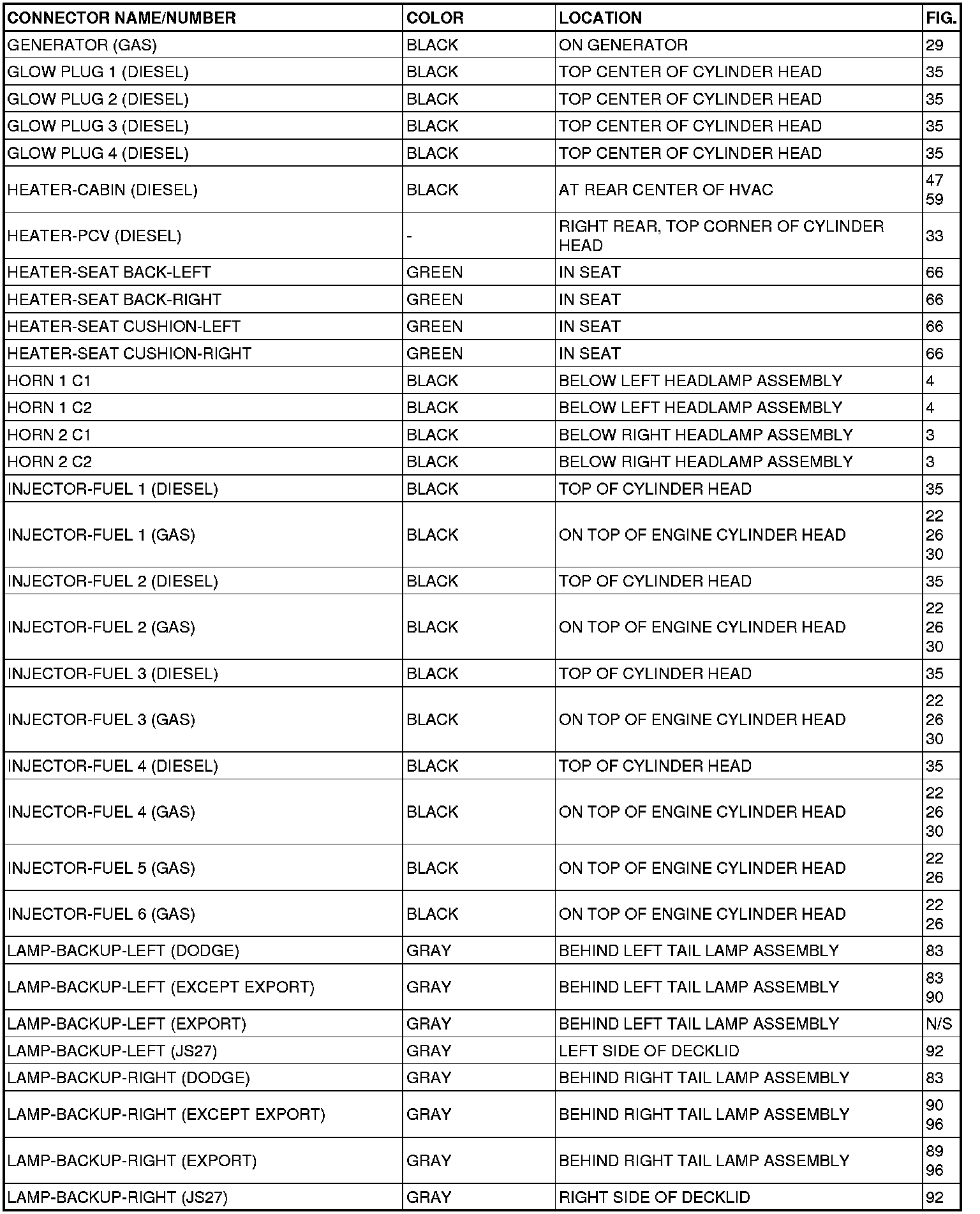
Cl-Ge:




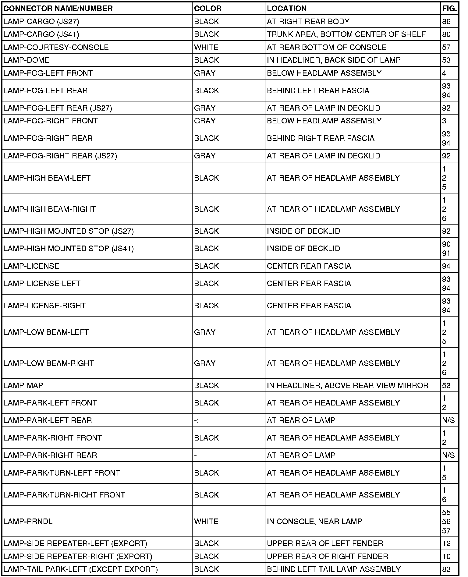
Ge-La:




La-La:




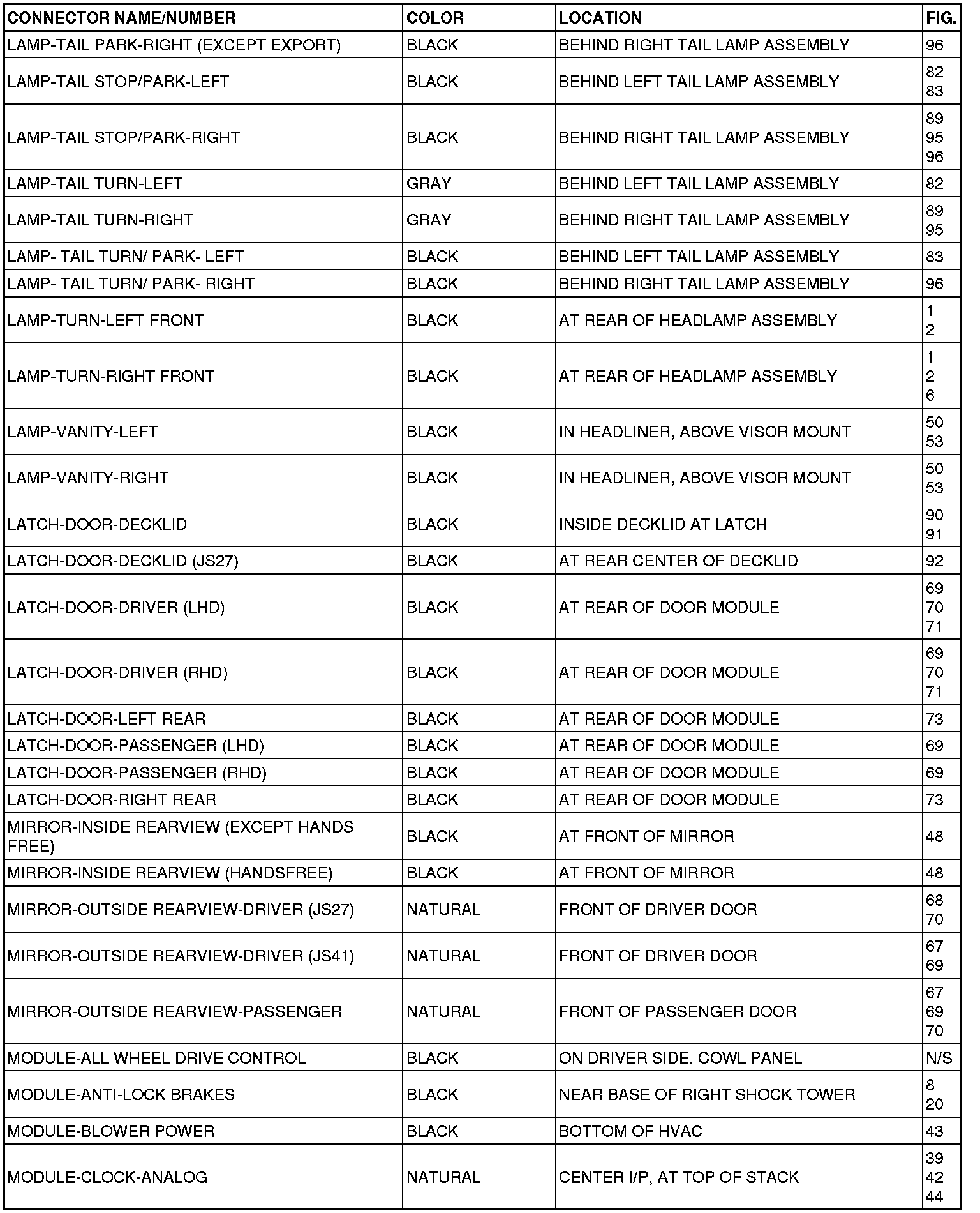
La-Mo:




Mo-Mo:




Mo-Mo:




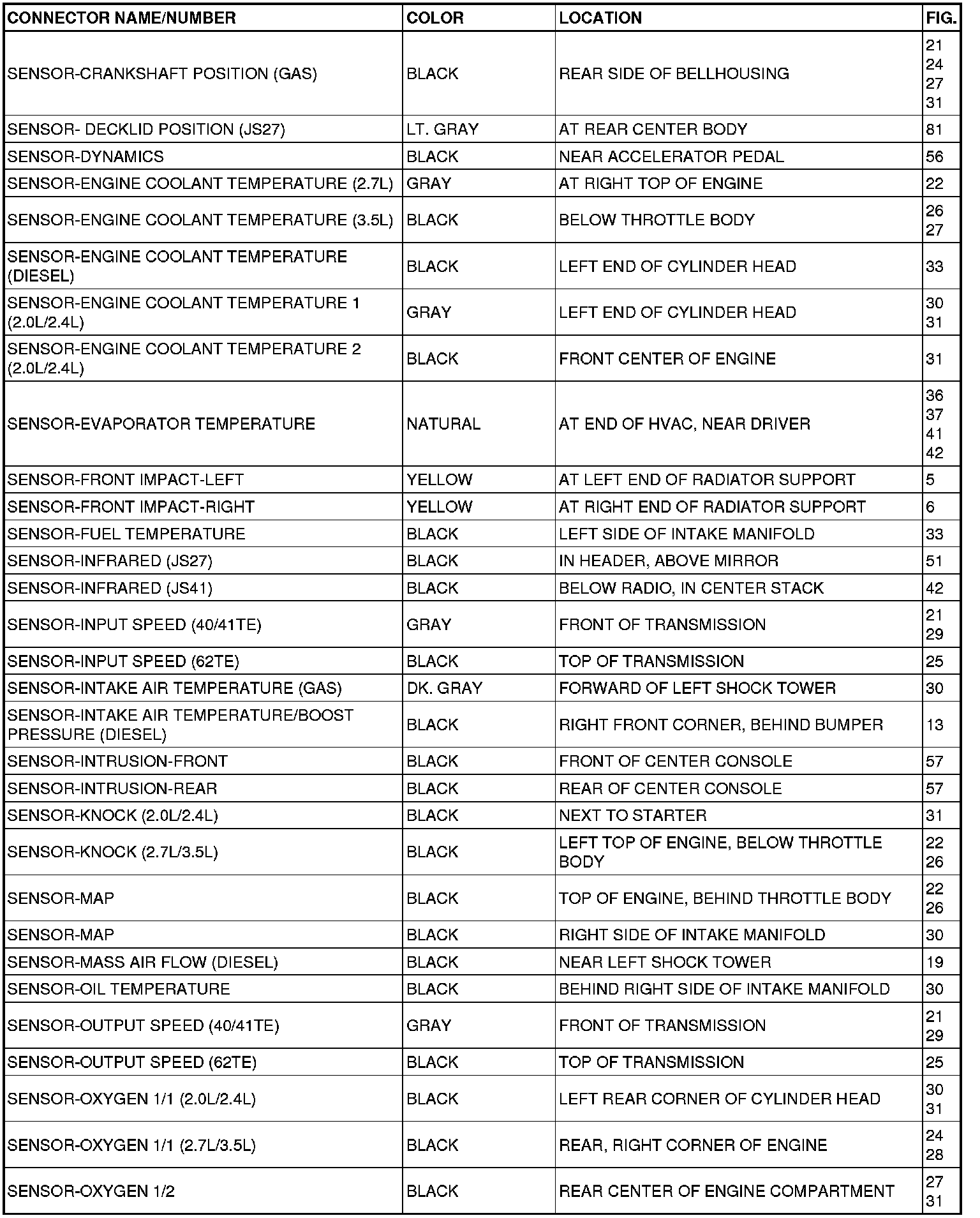
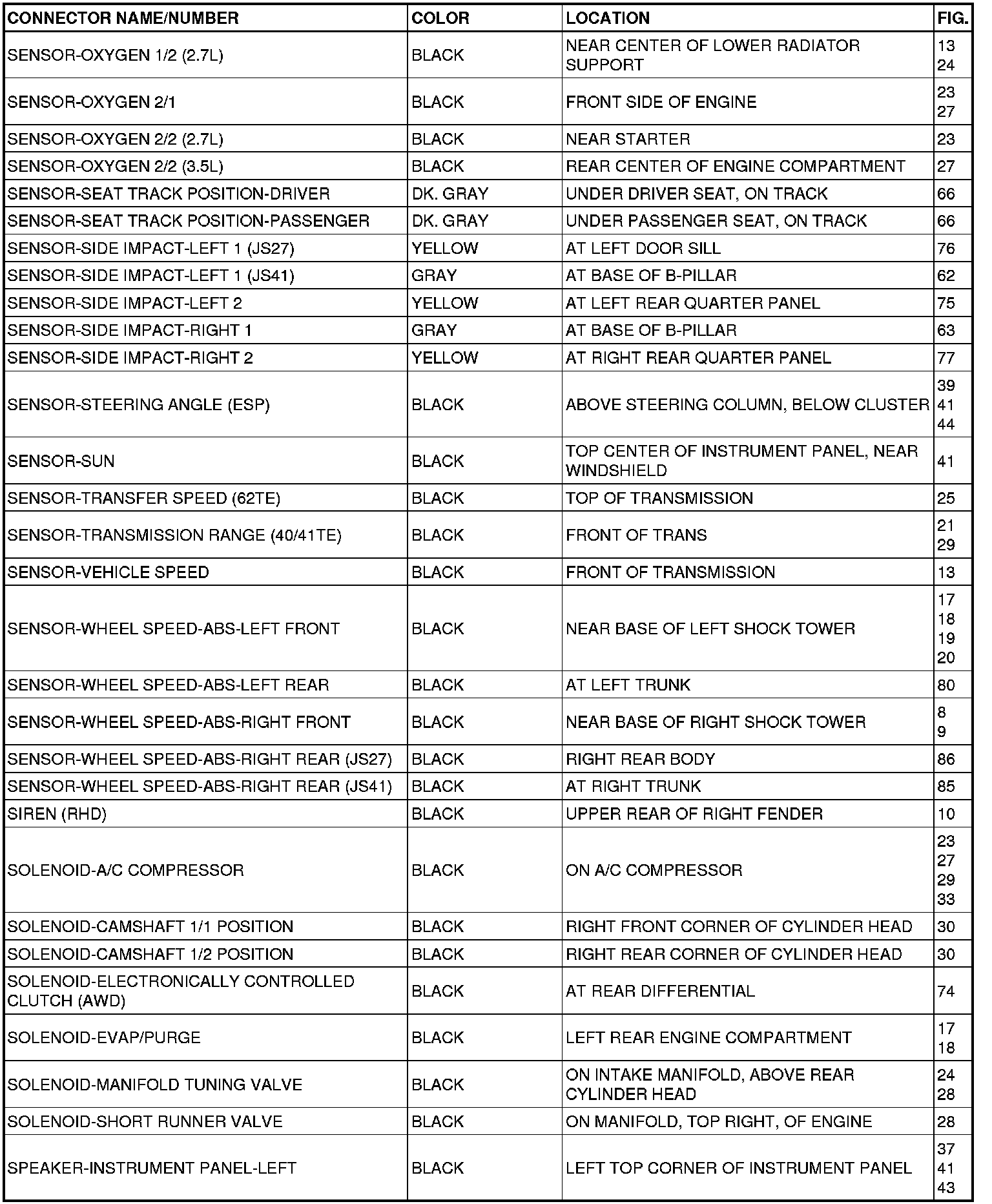
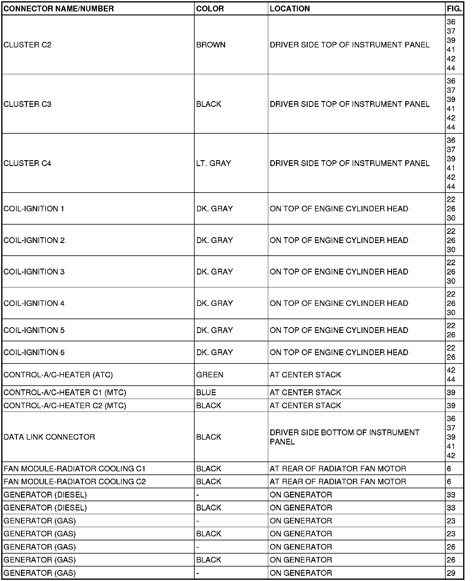
Mo-Se:




Se-Se:




Se-Sp:




Sp-Sw:




Sw-Tr:




Va-Va: