Curiosii for ever!
: Car repair manuals for everyone.
Home
>>
Chevy Truck
>>
2013
>>
Silverado 2500 2WD V8-6.6L DSL Turbo
>>
Repair and Diagnosis
>>
Powertrain Management
>>
Computers and Control Systems
>>
Specifications
>>
Electrical Specifications
>>
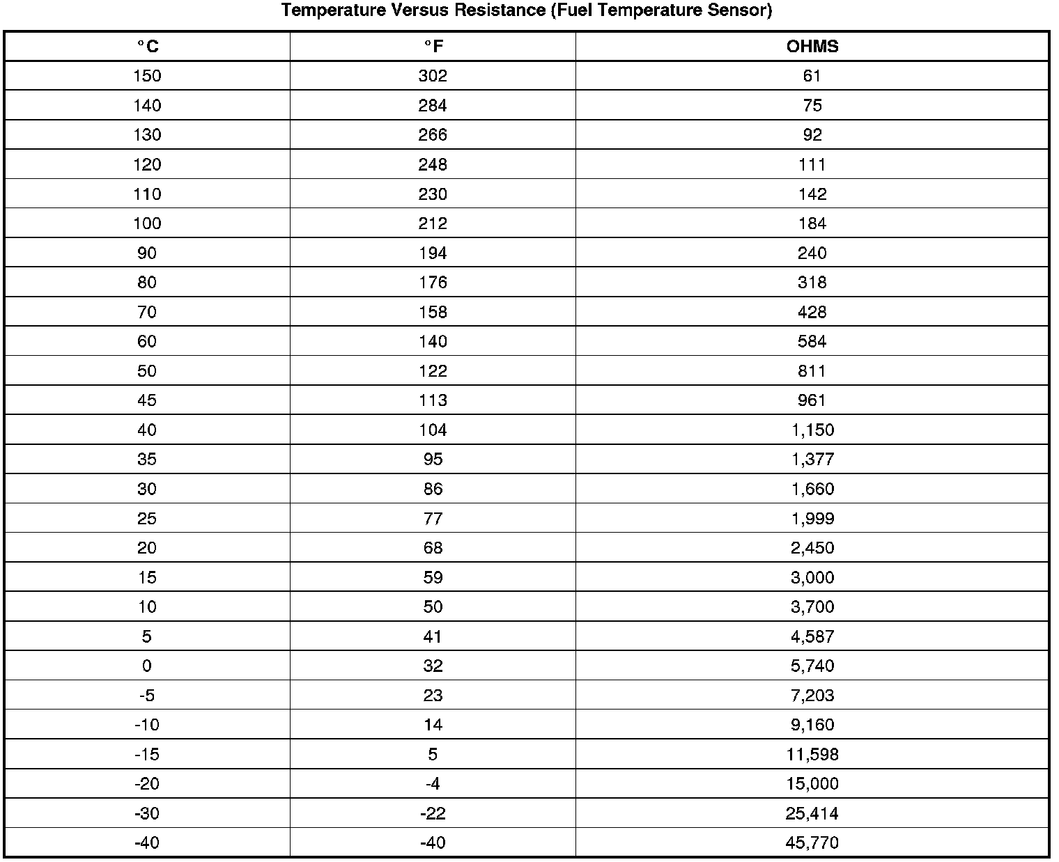
Temperature Versus Resistance (Fuel Temperature Sensor)
Temperature Versus Resistance (Fuel Temperature Sensor)
Temperature Versus Resistance (
Fuel Temperature Sensor
)