Curiosii for ever!
: Car repair manuals for everyone.
Home
>>
Chevy Truck
>>
2013
>>
Equinox FWD L4-2.4L
>>
Repair and Diagnosis
>>
Specifications
>>
Electrical Specifications
>>
Computers and Control Systems
>>
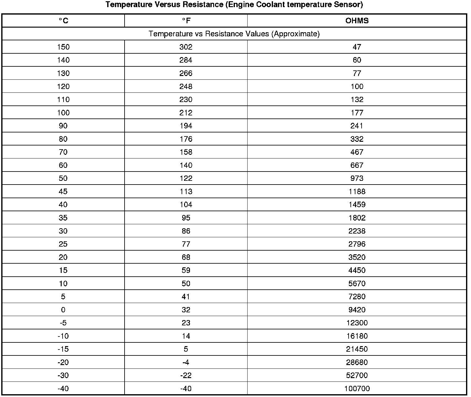
Temperature Versus Resistance (Engine Coolant temperature Sensor)
Temperature Versus Resistance (Engine Coolant temperature Sensor)
Temperature Versus Resistance (Engine Coolant temperature Sensor)