Curiosii for ever!
: Car repair manuals for everyone.
Home
>>
Chevy Truck
>>
2011
>>
Tahoe 4WD V8-6.0L Hybrid
>>
Repair and Diagnosis
>>
Specifications
>>
Electrical Specifications
>>
Power Control System, Hybrid Drive
Power Control System, Hybrid Drive
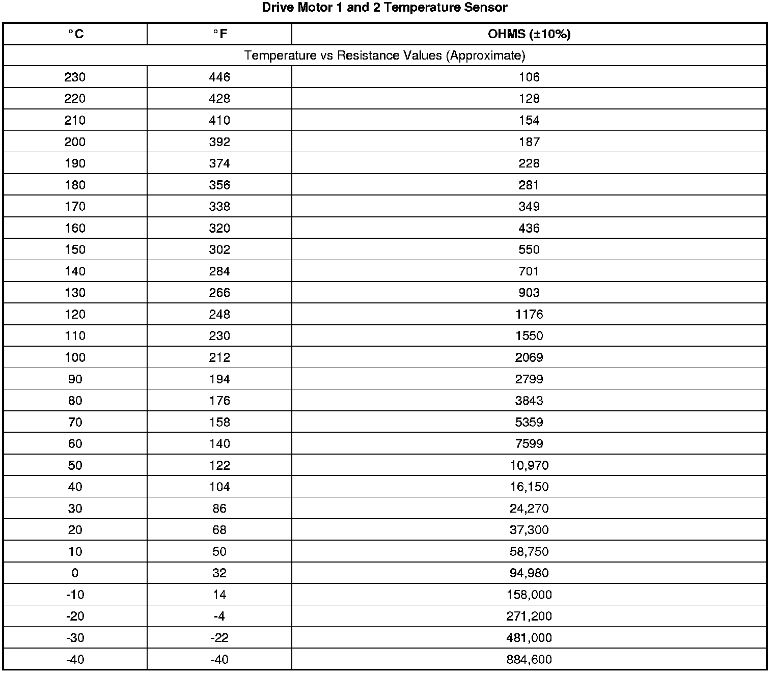
Temperature Versus Resistance