Curiosii for ever!
: Car repair manuals for everyone.
Home
>>
Chevy Truck
>>
2009
>>
Express 2500 V8-6.6L DSL Turbo
>>
Repair and Diagnosis
>>
Specifications
>>
Electrical Specifications
>>
Computers and Control Systems
>>
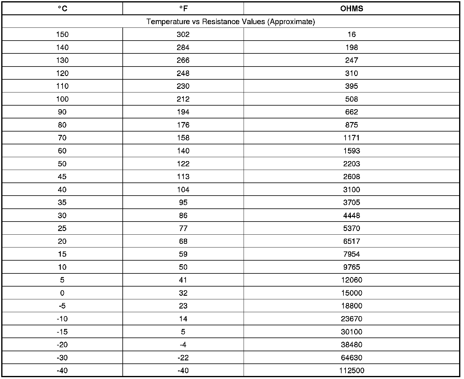
Temperature Versus Resistance (IAT Sensor 2)
Temperature Versus Resistance (IAT Sensor 2)
Temperature Versus Resistance (IAT Sensor 2)