Curiosii for ever!
: Car repair manuals for everyone.
Home
>>
Chevy Truck
>>
2009
>>
Equinox AWD V6-3.4L
>>
Repair and Diagnosis
>>
Powertrain Management
>>
Computers and Control Systems
>>
Specifications
>>
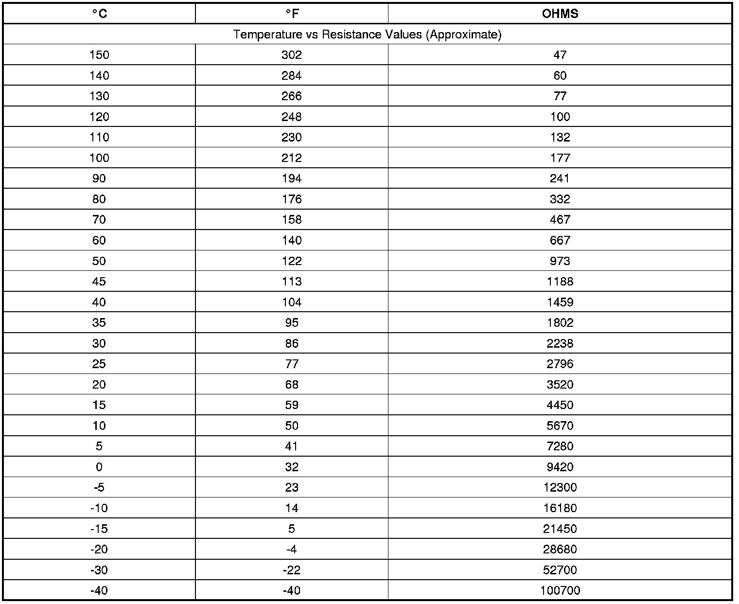
Temperature Versus Resistance
Temperature Versus Resistance
Temperature Versus Resistance