Curiosii for ever!
: Car repair manuals for everyone.
Home
>>
Chevy Truck
>>
2008
>>
Express 2500 V8-6.6L DSL Turbo
>>
Repair and Diagnosis
>>
Powertrain Management
>>
Computers and Control Systems
>>
Air Temperature Sensor ( Ambient / Intake )
>>
Specifications
>>
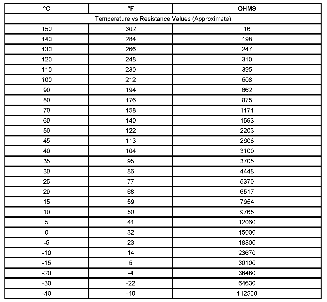
Temperature Versus Resistance (IAT Sensor 2)
Temperature Versus Resistance (IAT Sensor 2)
Temperature Versus Resistance (IAT Sensor 2)