Curiosii for ever!
: Car repair manuals for everyone.
Home
>>
Chevy Truck
>>
2007
>>
TrailBlazer 2WD L6-4.2L
>>
Repair and Diagnosis
>>
Powertrain Management
>>
Computers and Control Systems
>>
Testing and Inspection
>>
Initial Inspection and Diagnostic Overview
>>
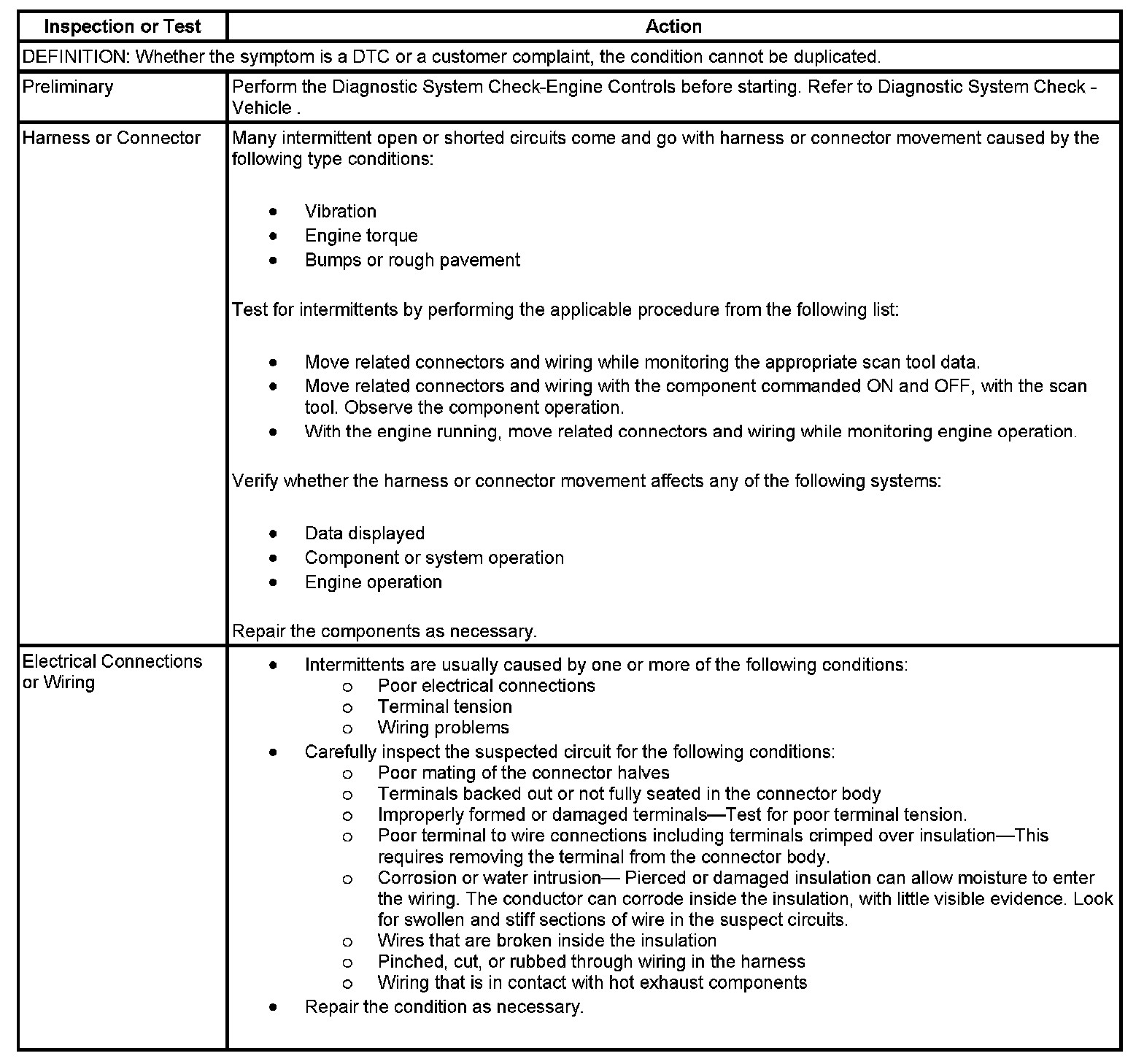
Intermittent Conditions
Intermittent Conditions
Intermittent Conditions