Curiosii for ever!
: Car repair manuals for everyone.
Home
>>
Chevy Truck
>>
2007
>>
Silverado 3500 2WD V8-6.0L
>>
Repair and Diagnosis
>>
Body and Frame
>>
Seats
>>
Testing and Inspection
>>
Scan Tool Testing and Procedures
>>
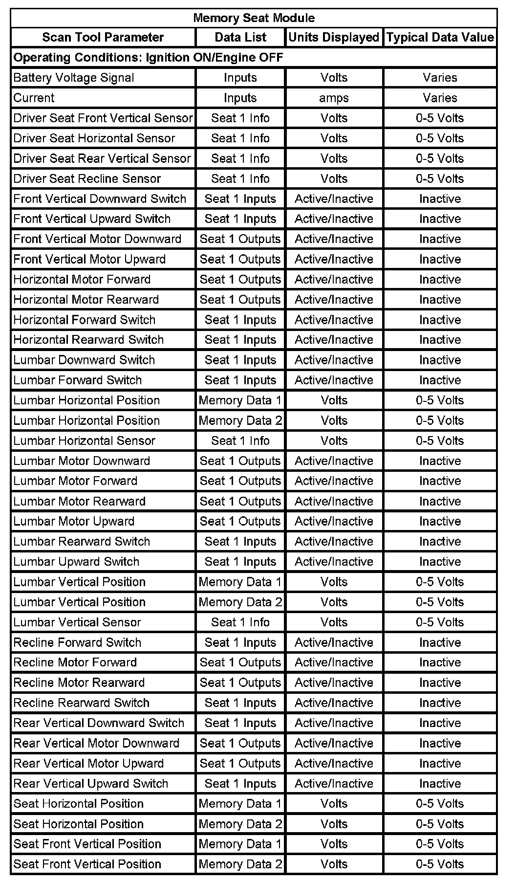
Scan Tool Data List
Scan Tool Data List
Scan Tool Data List