Curiosii for ever!: Car repair manuals for everyone.

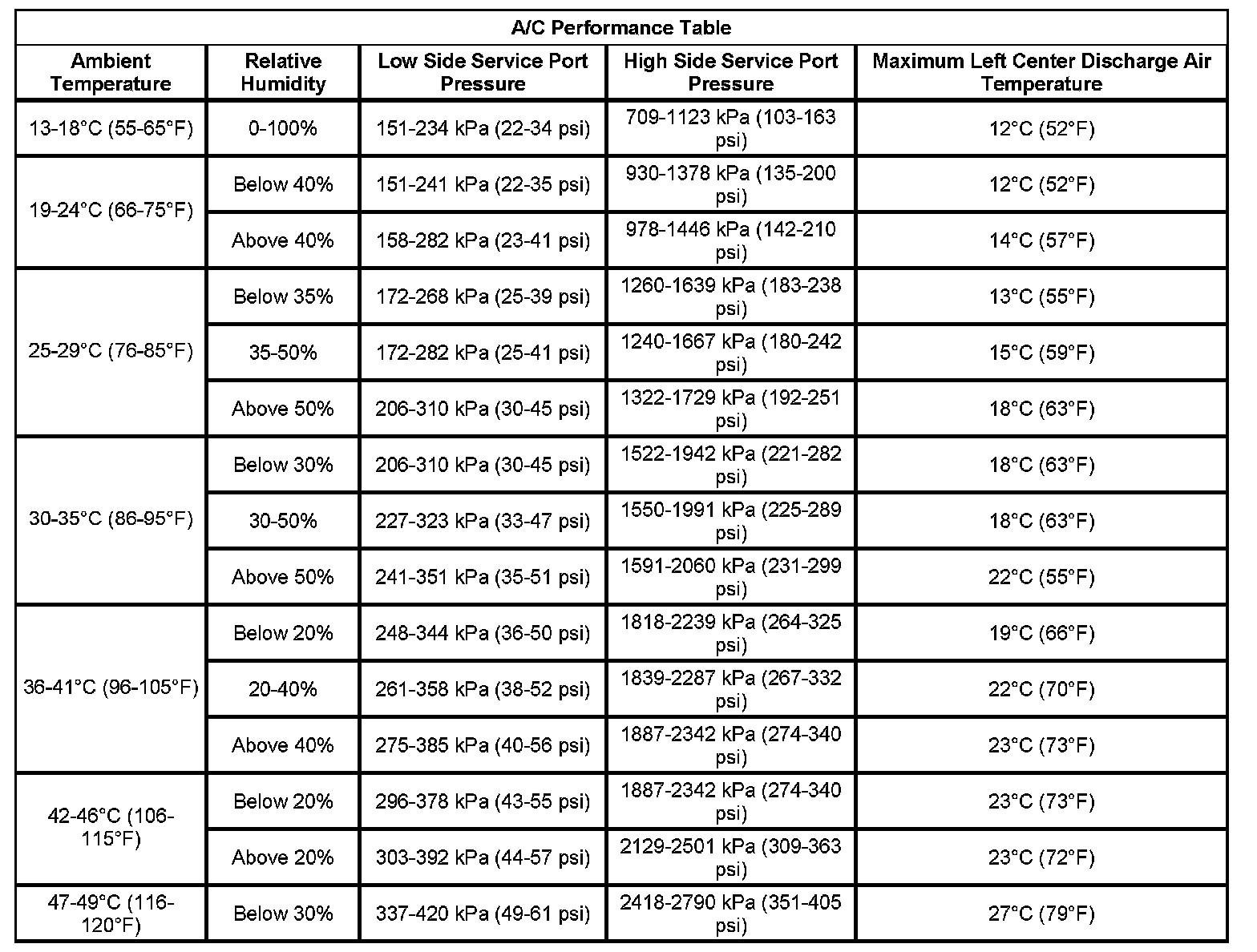
Air Conditioning (A/C) System Performance Test



Air Conditioning (A/C) System Performance Test

This test measures the operating efficiency of the A/C system under the following conditions:

* The current ambient air temperature
* The current relative humidity
* The high side pressure of the A/C system
* The low side pressure of the A/C system
* The temperature of the air being discharged into the passenger compartment

Test Description

Step 1:




Step 2 - Step 6:




Step 7 - Step 8:




The numbers below refer to the step numbers on the diagnostic table.
1. This step determines if the A/C system has at least the minimum refrigerant charge required to operate the system without damage.
2. This step measures the performance of the A/C system.
3. This step is to allow for vehicle variations as well as high ambient temperatures.

A/C System Pressure - Zone Classification