Curiosii for ever!
: Car repair manuals for everyone.
Home
>>
Chevy Truck
>>
2006
>>
Tahoe 4WD V8-5.3L VIN T
>>
Repair and Diagnosis
>>
Body and Frame
>>
Seats
>>
Testing and Inspection
>>
Scan Tool Testing and Procedures
>>
Scan Tool Data List
>>
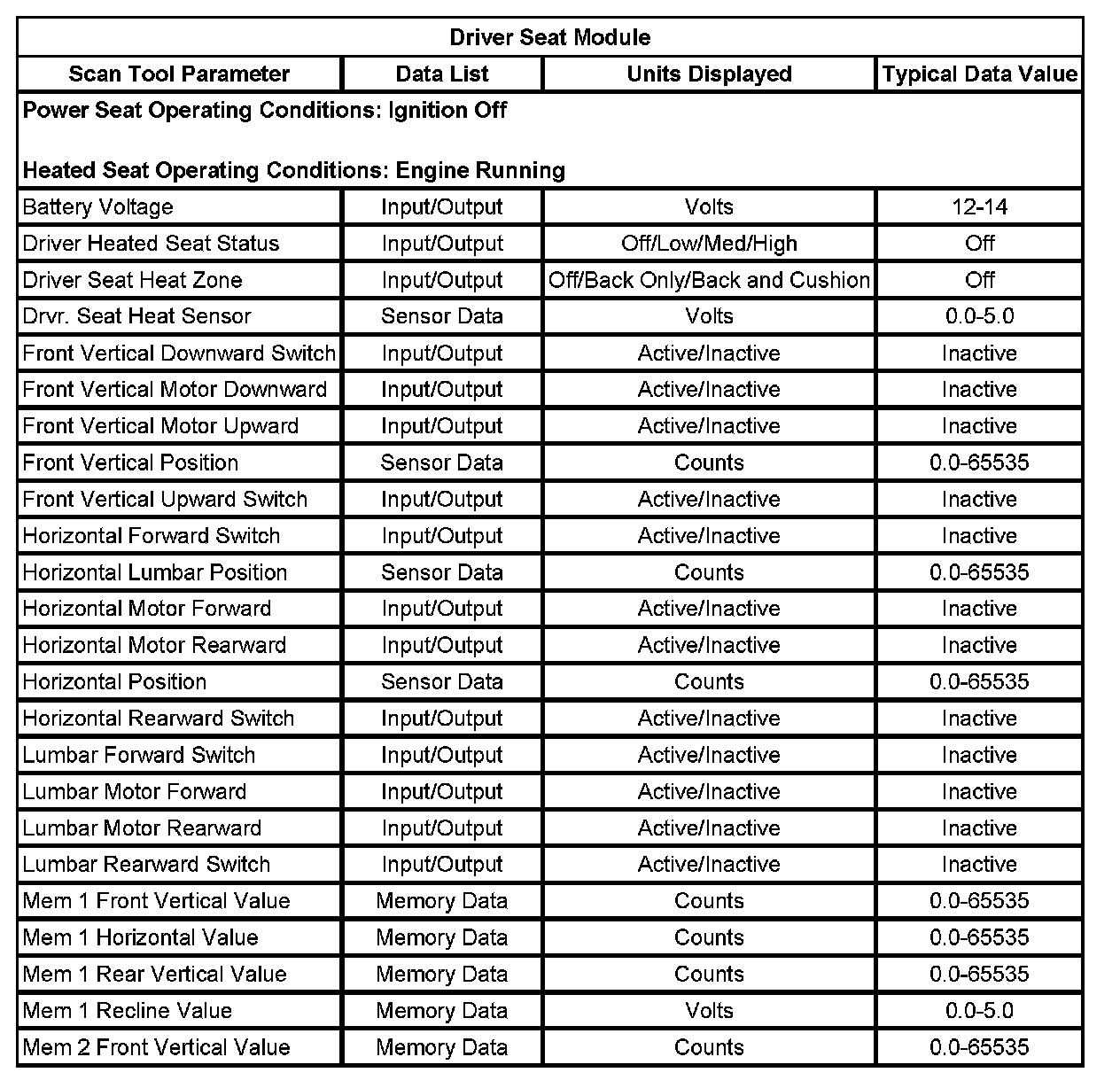
Driver Seat Module
Driver Seat Module
Driver Seat Module (Part 1):
Driver Seat Module (Part 2):