Curiosii for ever!
: Car repair manuals for everyone.
Home
>>
Chevy Truck
>>
2006
>>
Colorado 2WD L5-3.5L VIN 6
>>
Repair and Diagnosis
>>
Transmission and Drivetrain
>>
Automatic Transmission/Transaxle
>>
Transmission Temperature Sensor/Switch
>>
Specifications
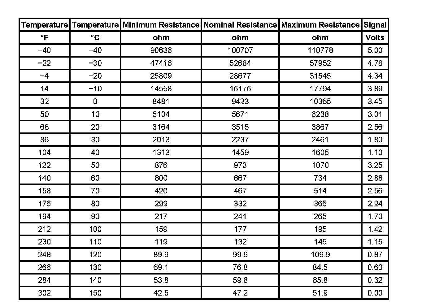
Transmission Temperature Sensor/Switch: Specifications
Transmission Fluid Temperature (TFT) Sensor Specifications: