Curiosii for ever!
: Car repair manuals for everyone.
Home
>>
Chevy Truck
>>
2005
>>
Astro Van 2WD V6-4.3L VIN X
>>
Repair and Diagnosis
>>
Brakes and Traction Control
>>
Antilock Brakes / Traction Control Systems
>>
Testing and Inspection
>>
Scan Tool Testing and Procedures
>>
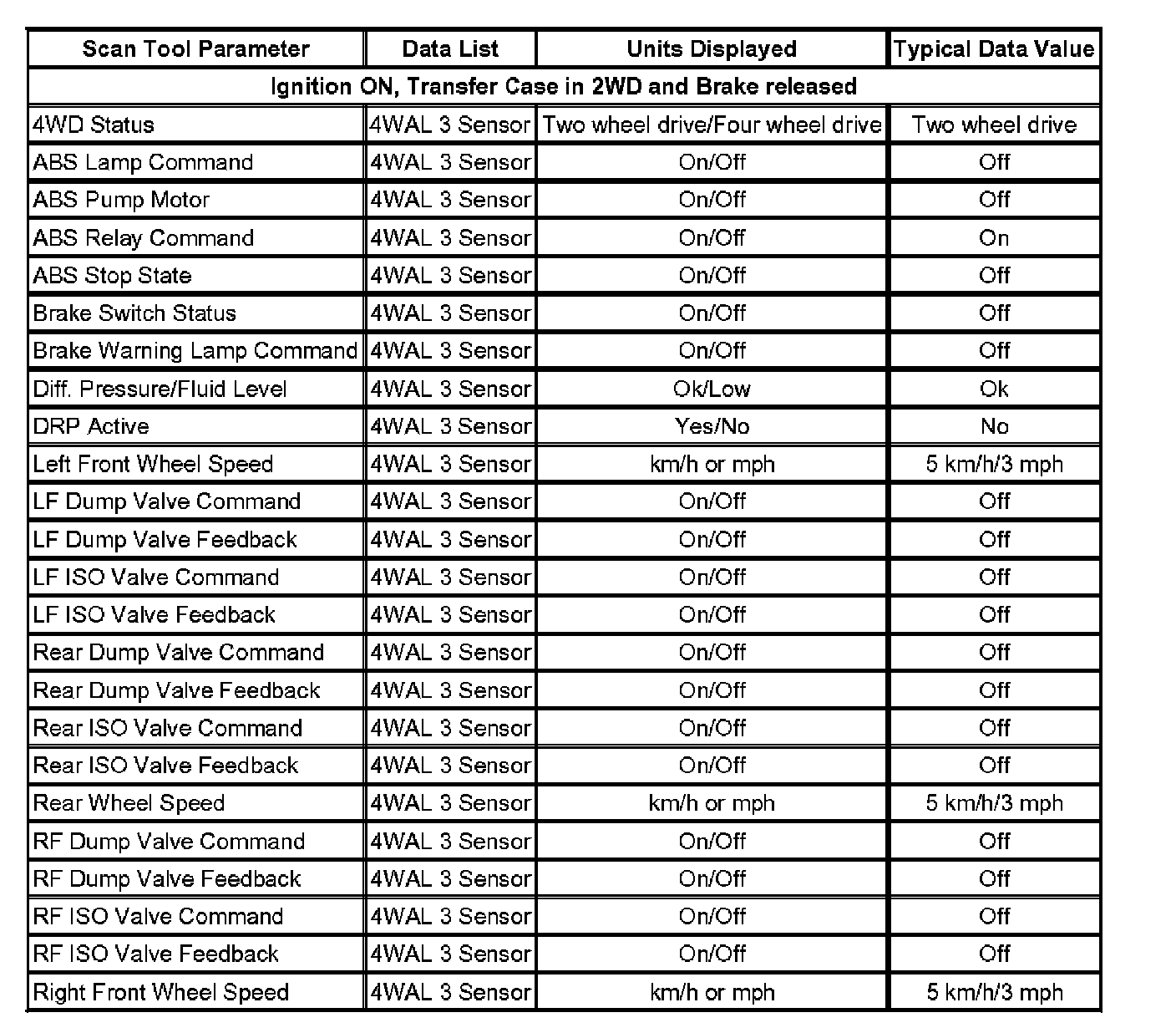
Scan Tool Data List
Scan Tool Data List