Curiosii for ever!
: Car repair manuals for everyone.
Home
>>
Chevy Truck
>>
2003
>>
Express 3/4 Ton Van AWD V8-5.3L VIN T
>>
Repair and Diagnosis
>>
Specifications
>>
Electrical Specifications
>>
Automatic Transmission/Transaxle
>>
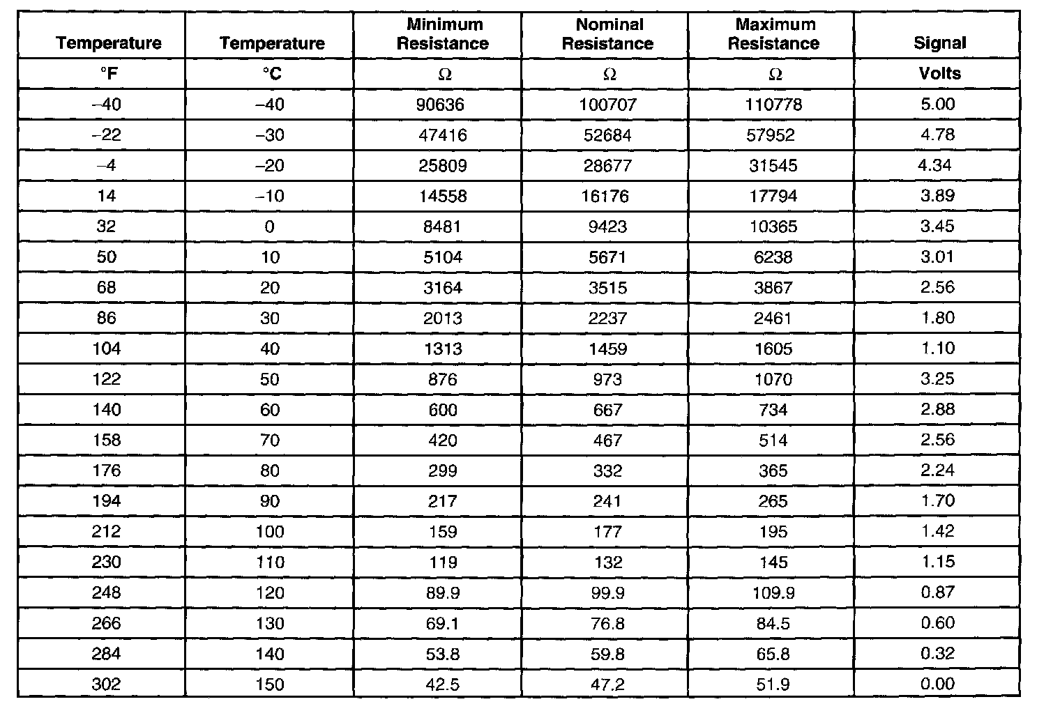
Transmission Temperature Sensor/Switch, A/T
Transmission Temperature Sensor/Switch, A/T