Curiosii for ever!
: Car repair manuals for everyone.
Home
>>
Chevy Truck
>>
2000
>>
Venture V6-3.4L VIN E
>>
Repair and Diagnosis
>>
Specifications
>>
Electrical Specifications
>>
Automatic Transmission/Transaxle
>>
Transmission Fluid Temperature Sensor Specifications
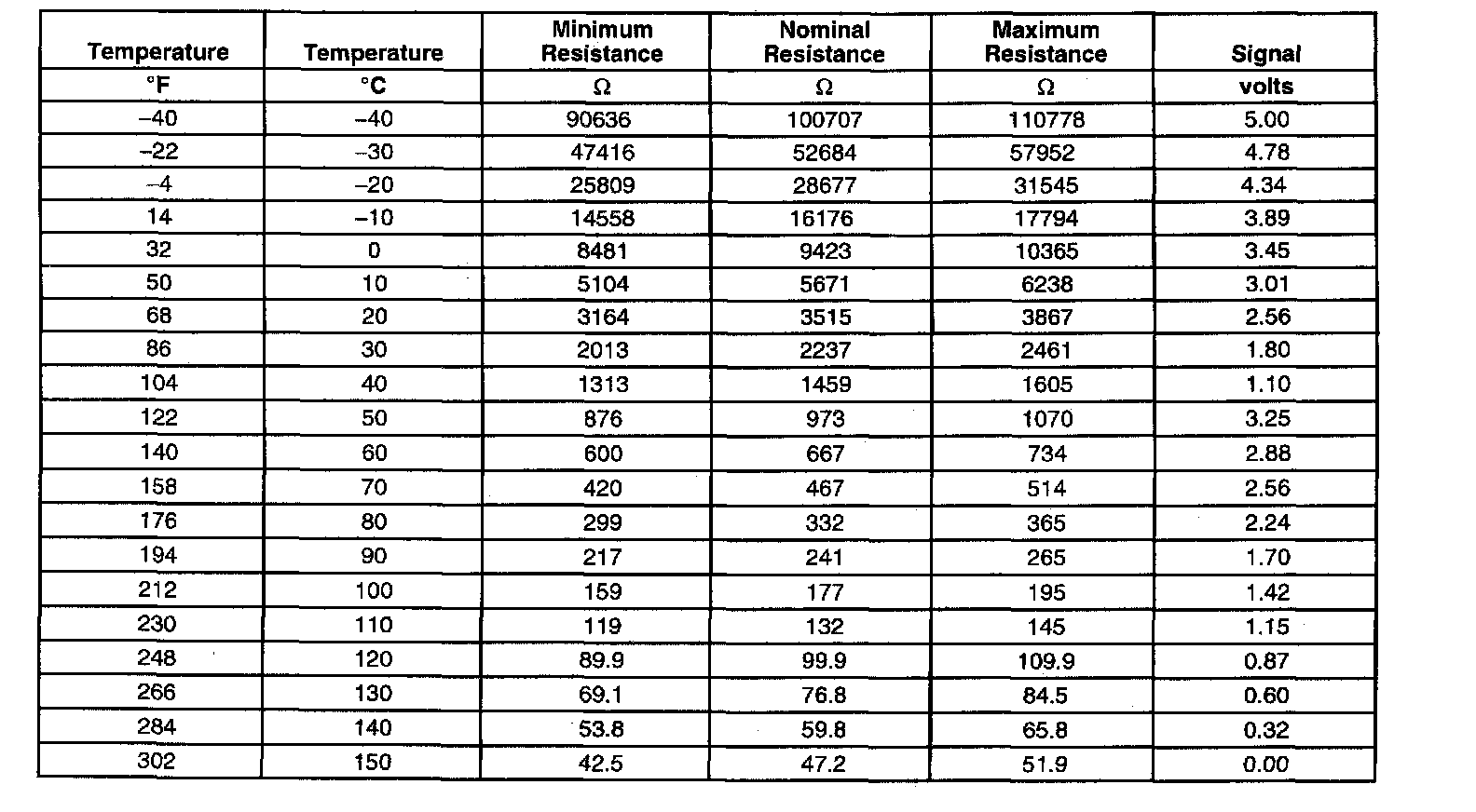
Transmission Fluid Temperature Sensor Specifications