Curiosii for ever!
: Car repair manuals for everyone.
Home
>>
Chevy Truck
>>
2000
>>
Express 1/2 Ton Van V8-5.7L VIN R
>>
Repair and Diagnosis
>>
Specifications
>>
Mechanical Specifications
>>
Steering
>>
System Specifications
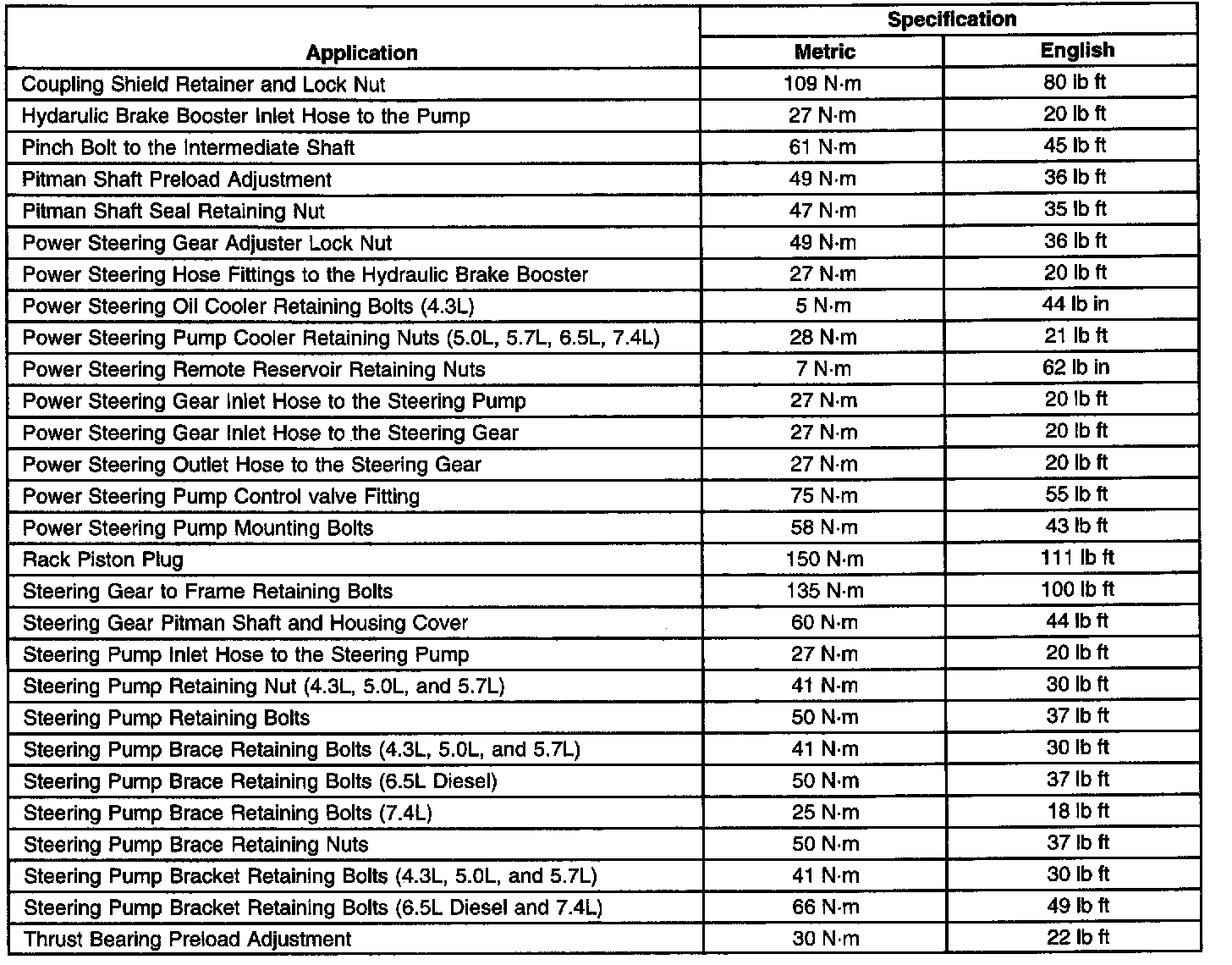
System Specifications