Curiosii for ever!
: Car repair manuals for everyone.
Home
>>
Chevy Truck
>>
2000
>>
C 1500 Truck 2WD V8-5.3L VIN T
>>
Repair and Diagnosis
>>
Powertrain Management
>>
Computers and Control Systems
>>
Specifications
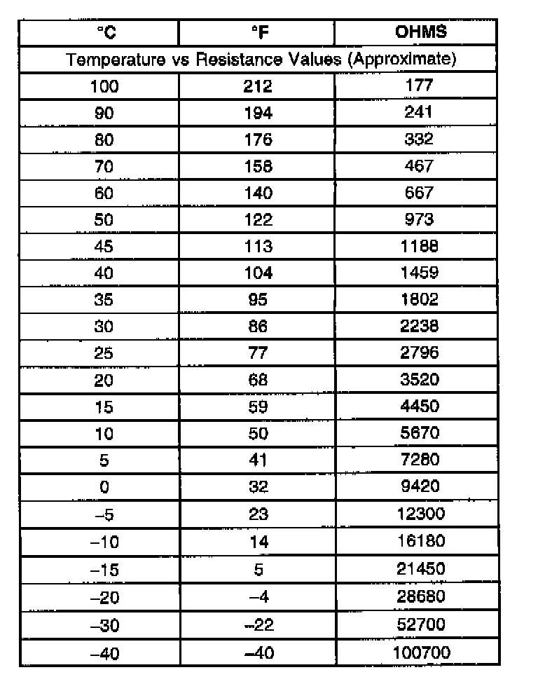
Computers and Control Systems: Specifications
Temperature Vs Resistance: