Curiosii for ever!
: Car repair manuals for everyone.
Home
>>
Chevy Truck
>>
1995
>>
G 20 Van V8-393 6.5L DSL VIN Y
>>
Repair and Diagnosis
>>
Powertrain Management
>>
Computers and Control Systems
>>
Transmission Position Sensor/Switch
>>
Testing and Inspection
>>
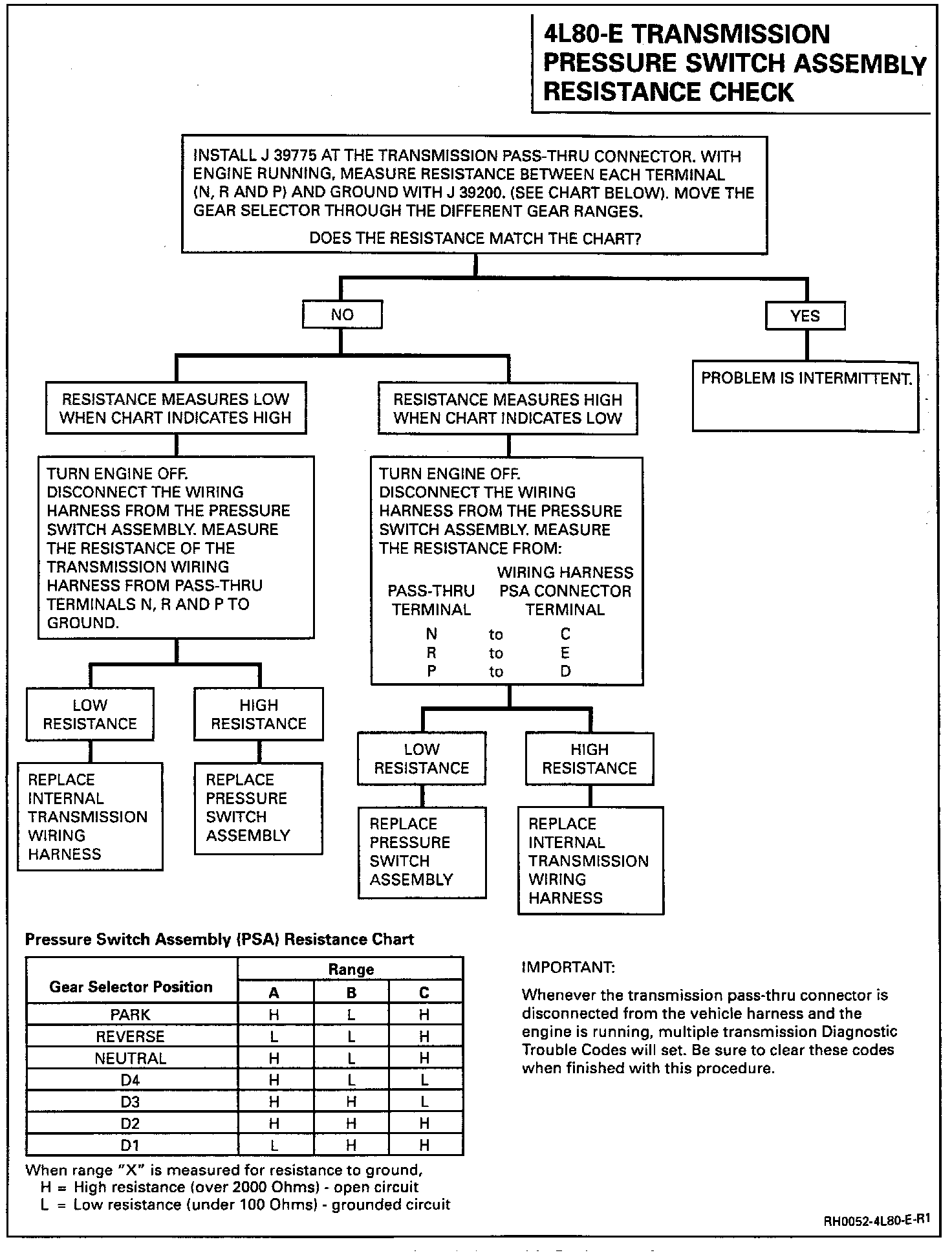
Pressure Switch Assembly Resistance Check
Pressure Switch Assembly Resistance Check
Pressure Switch Assembly Resistance Check: