Curiosii for ever!: Car repair manuals for everyone.

Transmission Range (TR) Pressure Switch Assembly Circuit Check

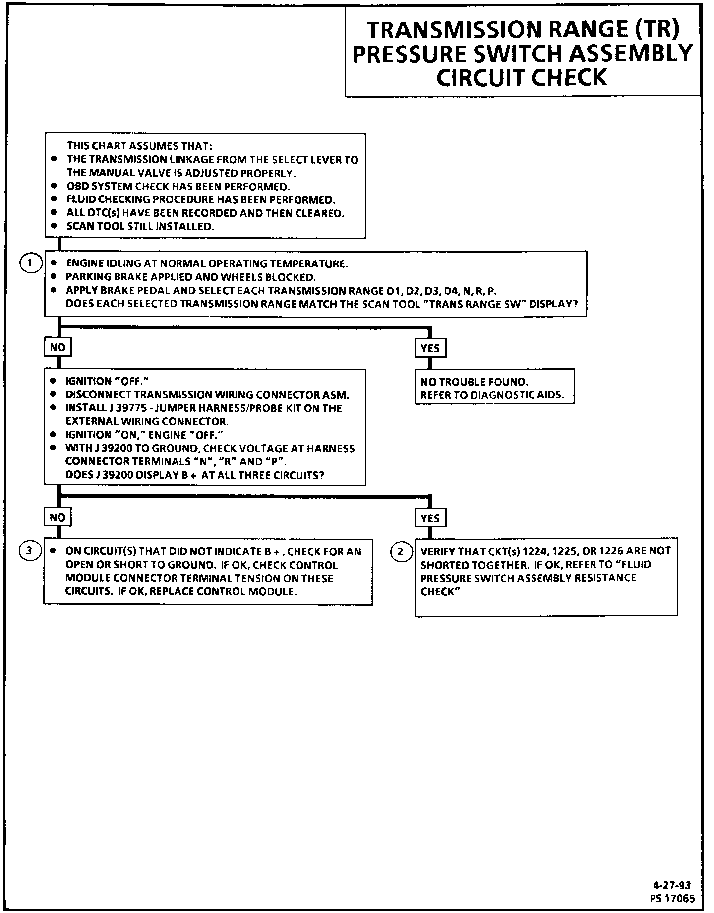
Diagnostic Chart:




Diagnostic Chart:




Wiring Diagram:






CIRCUIT DESCRIPTION
The Transmission Range (TR) switch assembly consists of five pressure switches (two normally closed and three normally open), and a TFT sensor combined into one unit and mounted on the valve body. The PCM supplies battery voltage to each range signal. By grounding one or more of these circuits through various combinations of the pressure switches, the PCM detects what manual valve position has been selected by the vehicle operator. With ignition "ON" and engine "OFF," P/N will be indicated. When the transmission electrical connector is disconnected, the ground potential for the three range signals to the PCM will be removed, and with ignition "ON," D2 will be indicated.

CHART TEST DESCRIPTION
Number(s) below refer to circled number(s) on the diagnostic chart.
1. This test checks the indicated range signal to the manual valve position actually selected.
2. This test checks for correct voltage from the PCM to the transmission external connector.
3. This test checks a short to ground or an open in any one of the three circuits.

DIAGNOSTIC AIDS
Refer to accompanying chart for various A/B/C range combinations. Check all wiring connectors for proper terminal tension.

Refer to "TR Pressure Switch Assembly Resistance Check" or "Functional Test Procedure" for further information.