Curiosii for ever!: Car repair manuals for everyone.

Idle Air Control (IAC) System Check

Idle Air Control System Check:




Wiring Diagram Idle Air Control System Check:






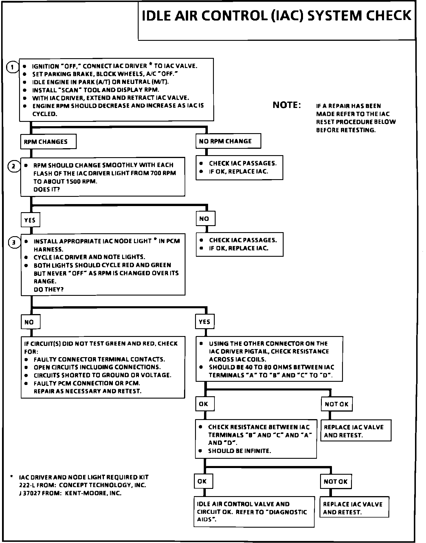
IDLE AIR CONTROL (IAC) SYSTEM CHECK



CIRCUIT DESCRIPTION:

The PCM controls idle rpm with the IAC valve. To increase idle rpm, the PCM moves the IAC valve away from it's seat, allowing more air to pass by the throttle plate. To decrease rpm, it moves the IAC valve toward it's seat, reducing air flow by the throttle plate. A "Scan" tool will read the PCM commands to the IAC valve in counts. The higher the counts, the more air allowed (higher idle). The lower the counts, the less air allowed (lower idle).


TEST DESCRIPTION: Numbers below refer to circled numbers on the diagnostic chart.

1. The IAC tester is used to extend and retract the IAC valve. Valve movement is verified by an engine speed change. If no change in engine speed occurs, the valve can be retested when removed from the throttle body.

2. This step checks the quality of the IAC movement in step 1. Between 700 rpm and about 1500 rpm, the engine speed should change smoothly with each flash of the tester light in both extend and retract. If the IAC valve is retracted beyond the control range (about 1500 rpm), it may take many flashes in the extend position before engine speed will begin to drop. This is normal on certain engines, fully extending IAC may cause engine stall. This may be normal.

3. Steps 1 and 2 verified proper IAC valve operation while this step checks the IAC circuits. Each lamp on the node light should flash red and green while the IAC valve is cycled. While the sequence of color is not important if either light is "OFF" or does not flash red and green, check the circuits for faults, beginning with poor terminal contacts.

IAC VALVE RESET PROCEDURE

^ Ignition "OFF" for 10 seconds
^ Start and run engine for 5 seconds
^ Ignition "OFF" for 10 seconds

DIAGNOSTIC AIDS:

A slow, unstable, or fast idle may be caused by a non-IAC system problem that cannot be overcome by the IAC valve. Out of control range IAC "Scan" tool counts will be above 60 if idle is too low, and zero counts if idle is too high. The following checks should be made to repair a non-IAC system problem.


^ Vacuum Leak (High Idle)
If idle is too high, stop the engine. Fully extend (low) IAC with tester. Start engine. If idle speed is above 800 rpm, locate and correct vacuum leak including PCV system. Also check for binding of throttle blade or linkage.
^ System Too Lean (High Air/Fuel Ratio)
The idle speed may be too high or too low. Engine speed may vary up and down and disconnecting the IAC valve does not help. Code 44 may be set "Scan" O2 voltage will be less than 300 mV (.3 volts). Check for low regulated fuel pressure water in the fuel or a restricted injector.
^ System Too Rich (Low Air/Fuel Ratio)
The idle speed will be too low. "Scan" tool IAC counts will usually be above 80. System is obviously rich and may exhibit black smoke in exhaust. "Scan" tool O2 voltage will be fixed above 800 mV (.8 volts).
Check for high fuel pressure, leaking or sticking injector. Silicone contaminated O2 sensors "Scan" voltage will be slow to respond.
^ Throttle body - Remove IAC and inspect bore for foreign material.
^ Refer to "Rough, Unstable, Incorrect Idle or Stalling".DIAGNOSIS BY SYMPTOM - NO TROUBLE CODES STORED.
^ If intermittent, poor driveability in idle symptoms are resolved by disconnecting the IAC, carefully recheck connections, valve terminal resistance, or replace IAC.
^ A/C Compressor or Relay Failure - See A/C diagnosis if circuit is shorted to ground. If the relay is faulty, idle problem may exist.
^ Refer to "Rough, Unstable, Incorrect Idle or Stalling". DIAGNOSIS BY SYMPTOM - NO TROUBLE CODES STORED.