Curiosii for ever!: Car repair manuals for everyone.

Chart C-1 ECM Replacement Check

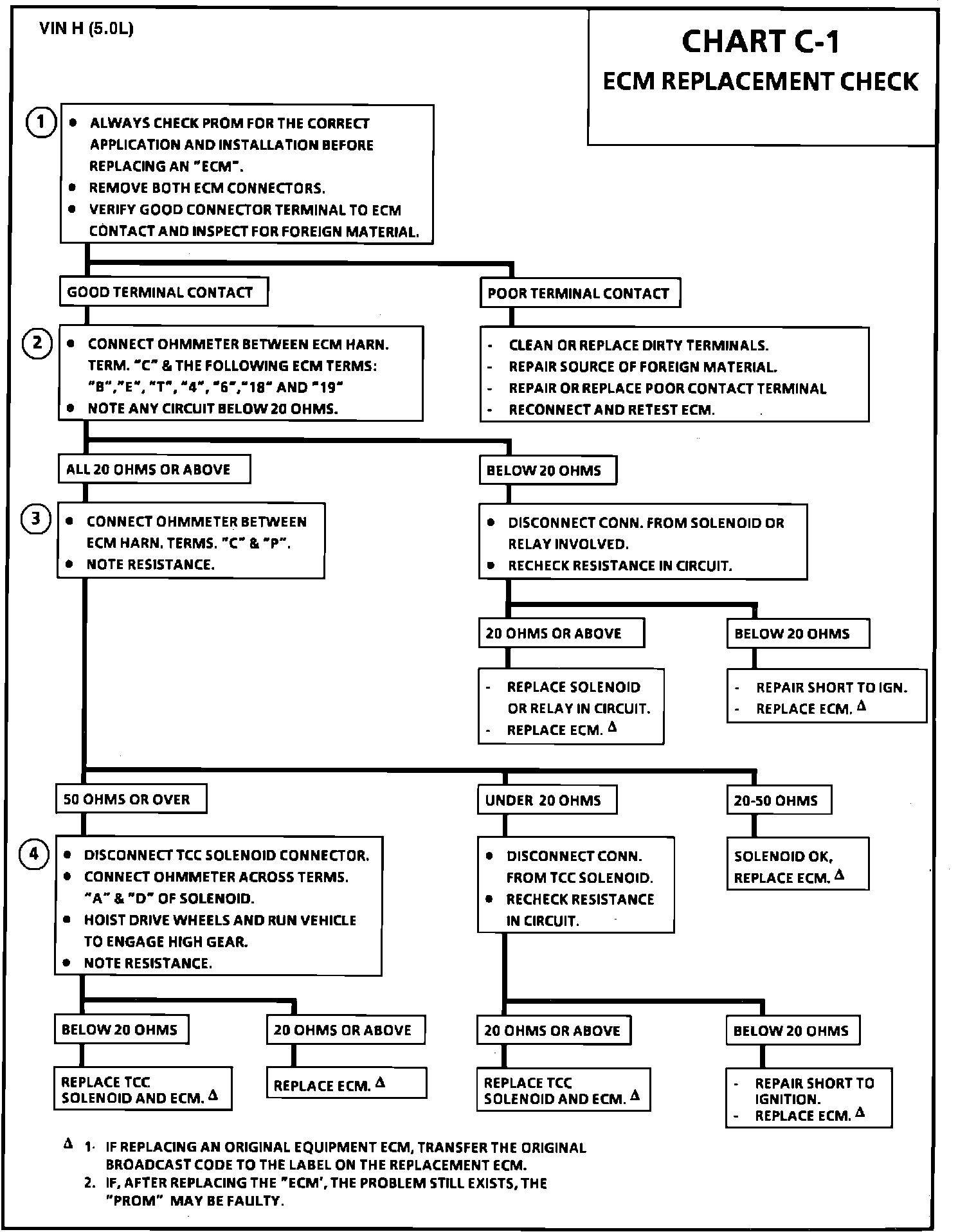
Chart C-1 - ECM Replacement Check:




Wiring Diagram for Chart C-1 - ECM Replacement Check:





CHART C-1 - ECM REPLACEMENT CHECK

Circuit Description:

Prior to replacing an ECM, the circuit involved must be tested for:

1. Poor connector terminal to ECM contact;

2. Direct battery voltage on an ECM ground circuit from a short to B+; or


3. Shorted solenoid or relay. If a short is found, the circuit must be repaired prior to replacing the ECM to prevent repeat ECM failures.


Test Description: Step numbers refer to step numbers on diagnostic chart.

1. Check for good terminal contact due to weak or dirty terminals. Remove terminal to inspect. Replace if broken or dirty. If coolant is present, replace coolant sensor and connector. Also, replace ECM connector terminal and blow coolant out of harness. Clean connector with alcohol or spray contact cleaner and replace ECM.

2. Check for a short to ignition or shorted solenoid or relay. All terminals must be tested since several are connected internally in the ECM. A short in one circuit may cause another circuit in the ECM to be inoperative that does not have an external fault, but was the cause of "driver's complaint". Any circuit testing below 20 ohms is shorted to ignition, or shorted across the relay or solenoid.


3. Check for shorted TCC solenoid. Some transmissions have a normally open 3rd gear switch in series with the solenoid. The ohmmeter will read infinite resistance (open circuit) in these cases. If the reading is less than 20 ohms, a short to ignition or faulty solenoid exists. A normal solenoid will read between 20 - 50 ohms.

4. Check for shorted TCC circuit in units with a 3rd gear switch. The vehicle must be in 3rd gear to close the switch to obtain a resistance reading. A normal solenoid will read between 20-50 ohms.

Wiring Diagram for Chart C-1 - ECM Replacement Check:





Remove or Disconnect


1. New electronic control module out of its packaging and check the service number to make sure it is the same as the faulty ECM.


2. Access cover so that PROM from faulty ECM may be installed in replacement ECM.


Important!


REPLACEMENT ELECTRONIC CONTROL MODULE (ECM) IS SUPPLIED WITHOUT AN ENGINE CALIBRATION UNIT (PROM) SO CARE SHOULD BE TAKEN WHEN REMOVING THE PROM FROM THE DEFECTIVE ECM AS IT WILL BE REUSED IN THE NEW ECM. REFER TO PROM REPLACEMENT PROCEDURE AS DETAILED IN SECTION "A", CODE 51.