Curiosii for ever!: Car repair manuals for everyone.

Electronically Controlled System

EXCEPT CABALLERO, EL CAMINO & 1985-87 MODELS W/ HEAVY DUTY EMISSIONS

DESCRIPTION


The Air Management System provides filtered air, under certain conditions, to the exhaust manifold to continue the combustion process after the exhaust gases have left the combustion chamber. This continued combustion aids in reducing HC and CO levels in the exhaust and also helps in maintaining ideal catalytic converter operating temperatures.

Electric Air Control (EAC) Valve:




Fig. 12 Electric Air Control Valve With Relief Tube (ECT):






SYSTEM OPERATION

This system consist of a belt driven air pump, internal drilled passages in the cylinder head or manifolds, piping and hoses, electric air control valve and check valves. The vane type air pump supplies air through a centrifugal filter fan to the electric air control (EAC) valve, Fig. 11. On 1987 V6-262 and V8 engines, an electric air control valve with relief tube (ECT) is used, Fig. 12. The electric air control valve directs air to either the exhaust manifold ports or the air cleaner, which also acts as silencer.

On all engines except 1987 Federal V6-173 engines, at cold engine coolant temperatures or at wide open throttle conditions, the Electronic Control Module (ECM) will energize the electric air control valve solenoid, directing the air to the exhaust manifold ports. At higher engine coolant temperatures, the electric air control valve solenoid is de-energized, directing air to the air cleaner. Also at higher engine speeds, air is directed to the air cleaner through the pressure relief valve even though the solenoid may be energized. During engine deceleration, a rise in the manifold vacuum signal to the electric air control valve, will cause the valve to direct the air to the air cleaner. When the engine is operating in the closed loop mode, air flow should be to the air cleaner, with no air flow to the exhaust ports.

On Federal 1987 V6-173 engines, the Electronic Control Module (ECM) will energize the electric air control valve whenever the engine is started, directing air flow to the exhaust ports. Air flow will only be directed to the air cleaner during deceleration.

On all engines, the check valve(s), which is located on the air injection pipe, will prevent reverse exhaust gas flow into the air pump in the event of a air pump drive belt failure or exhaust system afterfire. When the engine is operating under a rich condition or if the service soon lamp is illuminated, the electric air control valve solenoid will be de-energized.

DIAGNOSIS & TESTING

Refer to "Except Electronically Controlled System, Diagnosis and Testing" for components not covered in this section.

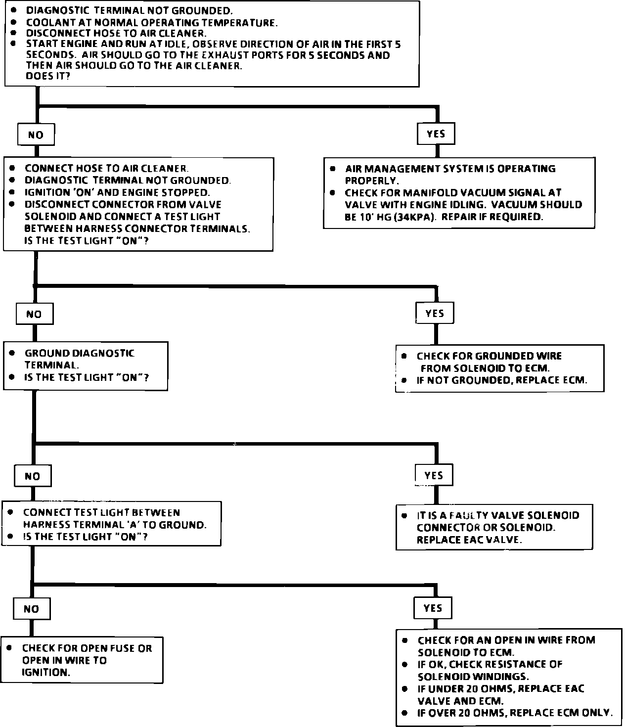
Fig. 13 Electric Air Control (EAC) diagnosis chart. Except 1983 S/T10-15 V6-173 w/ man. trans., S/T10-15 cab-chassis w/auto. trans., 1983-84 G Series 6-250 w/man. trans. & 1987 Federal V6-173:




Fig. 14 Electric Air Control (EAC) Valve schematic. Except 1983 S/T10-15 V6-173 w/ man. trans., S/T10-15 cab-chassis w/auto. trans., 1983-84 G Series 6-250 w/man. trans. & 1987 Federal V6-173:




Fig. 15 Electric Air Control (Diverter) Valve diagnosis chart. 1983 S/T10-15 V6-173 w/man. trans., S/T10-15 cab-chassis w/auto. trans. & 1983-84 G Series 6-250 w/man. trans.:




Fig. 16 Electric Air Control (Diverter) Valve schematic. 1983 S/T10-15 V6-173 w/man. trans., S/T10-15 cab-chassis w/auto. trans. & 1984-84 G Series 6-250 w/man. trans:






Electric Air Control Valve

On all engines except 1987 Federal V6-173, refer to Figs. 13 through 16, when diagnosing electric air control valve problems.

On 1987 Federal V6-173 engines, if system is not functioning properly, check for manifold vacuum signal of 10 inches Hg. of vacuum at valve. Also check electrical circuit from valve solenoid to ECM.

SERVICE

Refer to "Except Electronically Controlled System, Service" for components not covered in this section.

Electric Air Control Valve, Replace

1. Disconnect battery ground cable, then disconnect electrical connector from valve solenoid.
2. Disconnect vacuum lines and air inlet and outlet hoses from valve.
3. Remove electric air control valve.
4. Reverse procedure to install. After completing installation, check system for proper operation.