Curiosii for ever!
: Car repair manuals for everyone.
Home
>>
Chevrolet
>>
2013
>>
Malibu L4-2.4L Hybrid
>>
Repair and Diagnosis
>>
Specifications
>>
Mechanical Specifications
>>
Engine
>>
System Specifications
>>
Engine Mechanical Specifications
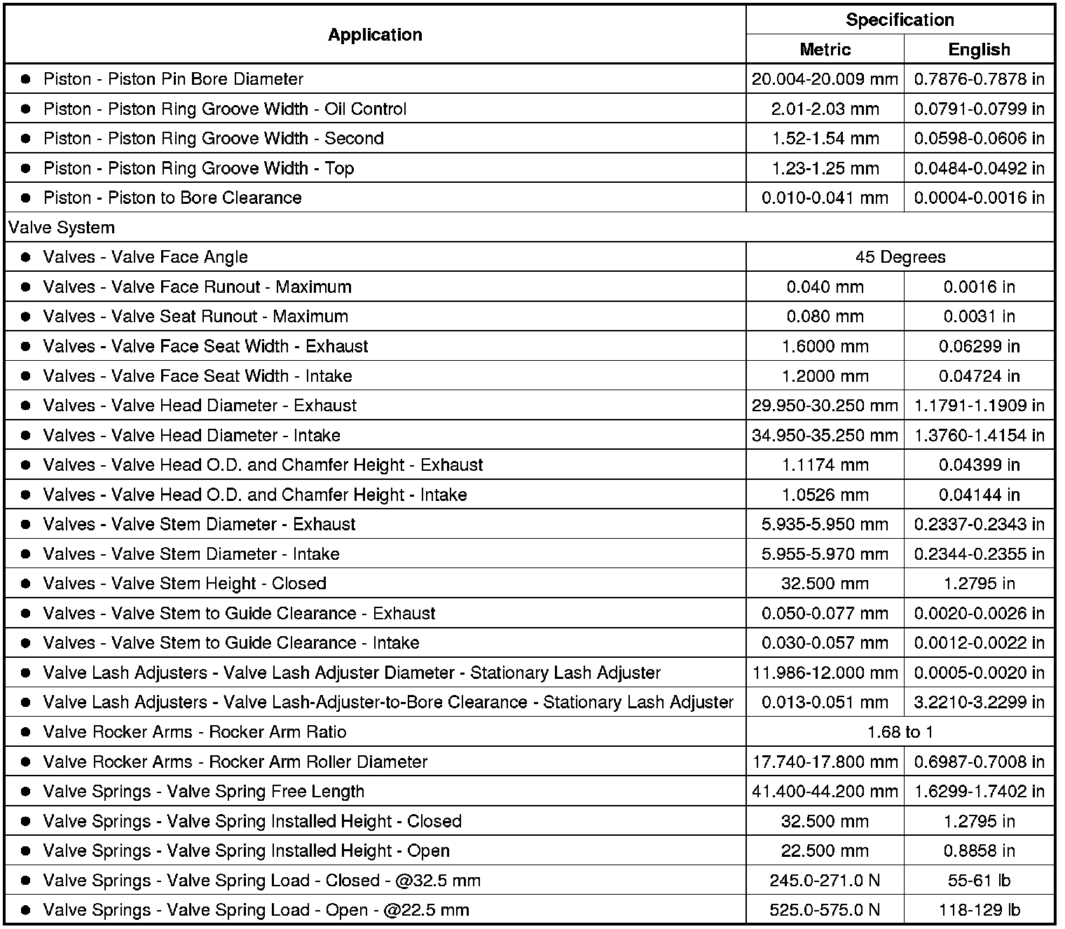
Engine Mechanical Specifications
Engine Mechanical Specifications (LAF, LEA, or LUK)